Multi-sample comparisons of the Kinkel (C086) Smchd1 LSK mini-bulk data set

Read-based analysis

Peter Hickey https://peterhickey.org (WEHI SCORE)https://www.wehi.edu.au/people/shalin-naik/3310/score
2021-10-20

Summary

This report analyses the read counts of the Del and Het samples only. The report begins with some general Setup and is followed by various analyses denoted by a prefix (y, ym, yf):

Setup

Show code

Load data

Show code
sce <- readRDS(here("data", "SCEs", "C086_Kinkel.preprocessed.SCE.rds"))
# NOTE: Reorder samples for plots (e.g., RLE plots).
sce <- sce[, order(sce$smchd1_genotype_updated, sce$sex, sce$mouse_number)]

# Restrict analysis to read counts
assays(sce) <- list(counts = assay(sce, "read_counts"))

outdir <- here("output", "DEGs", "reads")
dir.create(outdir, recursive = TRUE)

Gene filtering

We filter the genes to only retain protein coding genes.

Show code
sce <- sce[any(grepl("protein_coding", rowData(sce)$ENSEMBL.GENEBIOTYPE)), ]

Sample filtering

We filter out the WT samples as these are not useful for DE analysis since there is only 1 biological replicate.

Show code
sce <- sce[, sce$smchd1_genotype_updated != "WT"]
Show code
colData(sce) <- droplevels(colData(sce))
# Some useful colours
sex_colours <- setNames(
  unique(sce$sex_colours),
  unique(names(sce$sex_colours)))
smchd1_genotype_updated_colours <- setNames(
  unique(sce$smchd1_genotype_updated_colours),
  unique(names(sce$smchd1_genotype_updated_colours)))
mouse_number_colours <- setNames(
  unique(sce$mouse_number_colours),
  unique(names(sce$mouse_number_colours)))

Create DGEList objects

Show code
x <- DGEList(
  counts = as.matrix(counts(sce)),
  samples = colData(sce),
  group = factor(sce$smchd1_genotype_updated),
  genes = flattenDF(rowData(sce)))
x <- x[rowSums(x$counts) > 0, ]
Show code
y <- sumTechReps(x, x$samples$genotype.mouse)
ym <- y[, y$samples$sex == "M"]
yf <- y[, y$samples$sex == "F"]

Gene filtering

For each analysis, shown are the number of genes that have sufficient counts to test for DE (TRUE) or not (FALSE).

y

Show code
y_keep_exprs <- filterByExpr(y, group = y$samples$group, min.count = 5)
y <- y[y_keep_exprs, , keep.lib.sizes = FALSE]
table(y_keep_exprs)
y_keep_exprs
FALSE  TRUE 
 3040 11450 

ym

Show code
ym_keep_exprs <- filterByExpr(ym, group = ym$samples$group, min.count = 5)
ym <- ym[ym_keep_exprs, , keep.lib.sizes = FALSE]
table(ym_keep_exprs)
ym_keep_exprs
FALSE  TRUE 
 2891 11599 

yf

Show code
yf_keep_exprs <- filterByExpr(yf, group = yf$samples$group, min.count = 5)
yf <- yf[yf_keep_exprs, , keep.lib.sizes = FALSE]
table(yf_keep_exprs)
yf_keep_exprs
FALSE  TRUE 
 2977 11513 

Normalization

Normalization with upper-quartile (UQ) normalization.

Show code
x <- calcNormFactors(x, method = "upperquartile")
y <- calcNormFactors(y, method = "upperquartile")
ym <- calcNormFactors(ym, method = "upperquartile")
yf <- calcNormFactors(yf, method = "upperquartile")

Aggregation of technical replicates

We have up to 3 technical replicates from each biological replicate. Ideally, the technical replicates are very similar to one another when view on an MDS plot. However, Figure 1 shows that:

Show code
x_mds <- plotMDS(x, plot = FALSE)

x_df <- cbind(data.frame(x = x_mds$x, y = x_mds$y), x$samples)
rownames(x_df) <- colnames(x)

p1 <- ggplot(
  aes(x = x, y = y, colour = smchd1_genotype_updated, label = rownames(x_df)),
  data = x_df) +
  geom_point() +
  geom_text_repel(size = 2) +
  theme_cowplot(font_size = 8) +
  xlab("Leading logFC dim 1") +
  ylab("Leading logFC dim 2") +
  scale_colour_manual(values = smchd1_genotype_updated_colours)
p2 <- ggplot(
  aes(x = x, y = y, colour = sex, label = rownames(x_df)),
  data = x_df) +
  geom_point() +
  geom_text_repel(size = 2) +
  theme_cowplot(font_size = 8) +
  xlab("Leading logFC dim 1") +
  ylab("Leading logFC dim 2") +
  scale_colour_manual(values = sex_colours)
p3 <- ggplot(
  aes(x = x, y = y, colour = mouse_number, label = rownames(x_df)),
  data = x_df) +
  geom_point() +
  geom_text_repel(size = 2) +
  theme_cowplot(font_size = 8) +
  xlab("Leading logFC dim 1") +
  ylab("Leading logFC dim 2") +
  scale_colour_manual(values = mouse_number_colours)
p4 <- ggplot(
  aes(x = x, y = y, colour = log10(lib.size), label = rownames(x_df)),
  data = x_df) +
  geom_point() +
  geom_text_repel(size = 2) +
  theme_cowplot(font_size = 8) +
  scale_colour_viridis_c() +
  xlab("Leading logFC dim 1") +
  ylab("Leading logFC dim 2")

p1 + p2 + p3 + p4 + plot_layout(ncol = 2)
MDS plots of individual technical replicates coloured by various experimental factors.

Figure 1: MDS plots of individual technical replicates coloured by various experimental factors.

Although we could analyse the data at the level of technical replicates, this is more complicated. It will make our life easier by aggregating these technical replicates so that we have 1 sample per biological replicate. To aggregate technical replicates we simply sum their counts.

Figure 2 shows the MDS plot after aggregating the technical replicates. We still observe that:

These observations (and others) prompt us to consider further normalization of the data.

Show code
y_mds <- plotMDS(y, plot = FALSE)

y_df <- cbind(data.frame(x = y_mds$x, y = y_mds$y), y$samples)
rownames(y_df) <- colnames(y)

p1 <- ggplot(
  aes(x = x, y = y, colour = smchd1_genotype_updated, label = rownames(y_df)),
  data = y_df) +
  geom_point() +
  geom_text_repel(size = 2) +
  theme_cowplot(font_size = 8) +
  xlab("Leading logFC dim 1") +
  ylab("Leading logFC dim 2") +
  scale_colour_manual(values = smchd1_genotype_updated_colours)
p2 <- ggplot(
  aes(x = x, y = y, colour = sex, label = rownames(y_df)),
  data = y_df) +
  geom_point() +
  geom_text_repel(size = 2) +
  theme_cowplot(font_size = 8) +
  xlab("Leading logFC dim 1") +
  ylab("Leading logFC dim 2") +
  scale_colour_manual(values = sex_colours)
p3 <- ggplot(
  aes(x = x, y = y, colour = mouse_number, label = rownames(y_df)),
  data = y_df) +
  geom_point() +
  geom_text_repel(size = 2) +
  theme_cowplot(font_size = 8) +
  xlab("Leading logFC dim 1") +
  ylab("Leading logFC dim 2") +
  scale_colour_manual(values = mouse_number_colours)
p4 <- ggplot(
  aes(x = x, y = y, colour = log10(lib.size), label = rownames(y_df)),
  data = y_df) +
  geom_point() +
  geom_text_repel(size = 2) +
  theme_cowplot(font_size = 8) +
  scale_colour_viridis_c() +
  xlab("Leading logFC dim 1") +
  ylab("Leading logFC dim 2")

p1 + p2 + p3 + p4 + plot_layout(ncol = 2)
MDS plots of aggregated technical replicates coloured by various experimental factors.

Figure 2: MDS plots of aggregated technical replicates coloured by various experimental factors.

Further normalization

Show code
design <- model.matrix(
  ~0 + smchd1_genotype_updated + sex,
  y$samples)
colnames(design) <- sub(
  "smchd1_genotype_updated|sex",
  "",
  colnames(design))

y <- estimateDisp(y, design)

dgeglm <- glmFit(y, design)
contrasts <- makeContrasts(Del - Het, levels = design)
dgelrt <- glmLRT(dgeglm, contrast = contrasts)
tt <- topTags(dgelrt, n = Inf)
summary(decideTests(dgelrt))

The MDS plots in Figure 2 strongly suggest that we will not detect many differentially expressed genes (DEGs) using a standard analysis. This is borne out in Figure 3, which shows the results of a standard edgeR analysis of the data (there is 3 DEG (\(FDR < 0.05\))).

Show code
par(mfrow = c(1, 2))
plotMD(dgelrt)
abline(h = 0, lty = 2, col = "dodgerBlue")
plotMD(
  dgelrt,
  status = ifelse(rownames(dgelrt) == "Smchd1", "Smchd1", "Other"),
  hl.col = "orange")
abline(h = 0, lty = 2, col = "dodgerBlue")
MD plot highlighting DE genes (left) and Smchd1 (right).

Figure 3: MD plot highlighting DE genes (left) and Smchd1 (right).

To further normalize the data, we use RUVs.

Show code
differences <- makeGroups(
  interaction(y$samples$smchd1_genotype_updated, y$samples$sex))
ruv <- RUVs(
    x = betweenLaneNormalization(y$counts, "upper"),
    cIdx = rownames(y),
    k = 3,
    scIdx = differences)

design <- model.matrix(
  ~0 + smchd1_genotype_updated + sex + ruv$W,
  y$samples)
colnames(design) <- sub(
  "ruv\\$|smchd1_genotype_updated|sex",
  "",
  colnames(design))

Figure 4 shows that after applying RUVs samples cluster by combination of genotype and sex, which is what we want to see.

Therefore, we opt to further normalize the data using RUVs in each DE analysis1

Show code
y_mds <- plotMDS(cpm(ruv$normalizedCounts, log = TRUE), plot = FALSE)

y_df <- cbind(data.frame(x = y_mds$x, y = y_mds$y), y$samples)
rownames(y_df) <- colnames(y)

p1 <- ggplot(
  aes(x = x, y = y, colour = smchd1_genotype_updated, label = rownames(y_df)),
  data = y_df) +
  geom_point() +
  geom_text_repel(size = 2) +
  theme_cowplot(font_size = 8) +
  xlab("Leading logFC dim 1") +
  ylab("Leading logFC dim 2") +
  scale_colour_manual(values = smchd1_genotype_updated_colours)
p2 <- ggplot(
  aes(x = x, y = y, colour = sex, label = rownames(y_df)),
  data = y_df) +
  geom_point() +
  geom_text_repel(size = 2) +
  theme_cowplot(font_size = 8) +
  xlab("Leading logFC dim 1") +
  ylab("Leading logFC dim 2") +
  scale_colour_manual(values = sex_colours)
p3 <- ggplot(
  aes(x = x, y = y, colour = mouse_number, label = rownames(y_df)),
  data = y_df) +
  geom_point() +
  geom_text_repel(size = 2) +
  theme_cowplot(font_size = 8) +
  xlab("Leading logFC dim 1") +
  ylab("Leading logFC dim 2") +
  scale_colour_manual(values = mouse_number_colours)
p4 <- ggplot(
  aes(x = x, y = y, colour = log10(lib.size), label = rownames(y_df)),
  data = y_df) +
  geom_point() +
  geom_text_repel(size = 2) +
  theme_cowplot(font_size = 8) +
  scale_colour_viridis_c() +
  xlab("Leading logFC dim 1") +
  ylab("Leading logFC dim 2")

p1 + p2 + p3 + p4 + plot_layout(ncol = 2)
MDS plots of aggregated technical replicates following RUV coloured by various experimental factors.

Figure 4: MDS plots of aggregated technical replicates following RUV coloured by various experimental factors.

Gene sets

Marnie and Sarah interested in the following gene sets:

Show code
male_het_vs_del <- read.csv(
  here("output", "DEGs", "male_B_cells", "male_B_cells.DEGs.csv.gz"))
female_het_vs_del <- read.csv(
  here("output", "DEGs", "female_B_cells", "female_B_cells.DEGs.csv.gz"))
# NOTE: The `as.data.frame()` calls are needed because read_excel() returns a 
#       tibble but `limma::fry()` does not support tibbles.
library(readxl)
sun_2014 <- read_excel(
  here("data", "sarahs_gene_lists", "Sun_2014_CellStemCell_DE_HSC_aging.xlsx"),
  sheet = "Differentially expressed genes")
sun_2014 <- as.data.frame(sun_2014)
chambers_2007 <- read_excel(
  here("data", "sarahs_gene_lists", "HSC_signature_genes.xlsx"),
  sheet = "Chambers_2007_CellStemCell",
  na = "NA")
chambers_2007 <- as.data.frame(chambers_2007)
gazit_2013 <- read_excel(
  here("data", "sarahs_gene_lists", "HSC_signature_genes.xlsx"),
  sheet = "Gazit_2013_StemCellRep",
  range = "A3:C325")
gazit_2013 <- as.data.frame(gazit_2013)
# NOTE: File manually downloaded from   
#       https://doi.org/10.1371/journal.pbio.0020301.st002 and converted to a 
#       CSV file using LibreOffice.
venezia_proliferation <- read.csv(
  here("data", "sarahs_gene_lists", "pbio.0020301.st002.csv"),
  header = TRUE,
  skip = 1,
  nrow = 680)
# NOTE: File manually downloaded from   
#       https://doi.org/10.1371/journal.pbio.0020301.st004 and converted to a 
#       CSV file using LibreOffice.
venezia_quiescence <- read.csv(
  here("data", "sarahs_gene_lists", "pbio.0020301.st004.csv"),
  header = TRUE,
  skip = 1,
  nrow = 808)
smchd1_femBcells <- data.table::fread(
  here("data", "sarahs_gene_lists", "210923_EdgeR stats p1.0 log2.txt"),
  data.table = FALSE)

Analysis of aggregated technical replicates

Show code
y_differences <- makeGroups(
  interaction(y$samples$smchd1_genotype_updated, y$samples$sex))
y_ruv <- RUVs(
    x = betweenLaneNormalization(y$counts, "upper"),
    cIdx = rownames(y),
    k = 3,
    scIdx = y_differences)

y_design <- model.matrix(
  ~0 + smchd1_genotype_updated + sex + y_ruv$W,
  y$samples)
colnames(y_design) <- sub(
  "ruv\\$|smchd1_genotype_updated|sex",
  "",
  colnames(y_design))

MDS

Show code
y_mds <- plotMDS(cpm(y_ruv$normalizedCounts, log = TRUE), plot = FALSE)

y_df <- cbind(data.frame(x = y_mds$x, y = y_mds$y), y$samples)
rownames(y_df) <- colnames(y)

p1 <- ggplot(
  aes(x = x, y = y, colour = smchd1_genotype_updated, label = rownames(y_df)),
  data = y_df) +
  geom_point() +
  geom_text_repel(size = 2) +
  theme_cowplot(font_size = 8) +
  xlab("Leading logFC dim 1") +
  ylab("Leading logFC dim 2") +
  scale_colour_manual(values = smchd1_genotype_updated_colours)
p2 <- ggplot(
  aes(x = x, y = y, colour = sex, label = rownames(y_df)),
  data = y_df) +
  geom_point() +
  geom_text_repel(size = 2) +
  theme_cowplot(font_size = 8) +
  xlab("Leading logFC dim 1") +
  ylab("Leading logFC dim 2") +
  scale_colour_manual(values = sex_colours)
p3 <- ggplot(
  aes(x = x, y = y, colour = mouse_number, label = rownames(y_df)),
  data = y_df) +
  geom_point() +
  geom_text_repel(size = 2) +
  theme_cowplot(font_size = 8) +
  xlab("Leading logFC dim 1") +
  ylab("Leading logFC dim 2") +
  scale_colour_manual(values = mouse_number_colours)
p4 <- ggplot(
  aes(x = x, y = y, colour = log10(lib.size), label = rownames(y_df)),
  data = y_df) +
  geom_point() +
  geom_text_repel(size = 2) +
  theme_cowplot(font_size = 8) +
  scale_colour_viridis_c() +
  xlab("Leading logFC dim 1") +
  ylab("Leading logFC dim 2")

p1 + p2 + p3 + p4 + plot_layout(ncol = 2)
MDS plots of aggregated technical replicates following RUV coloured by various experimental factors.

Figure 5: MDS plots of aggregated technical replicates following RUV coloured by various experimental factors.

DE analysis

Fit a model using edgeR with a term for smchd1_genotype_updated and sex.

Show code
y <- estimateDisp(y, y_design)
par(mfrow = c(1, 1))
plotBCV(y)
Show code
y_dgeglm <- glmFit(y, y_design)
y_contrast <- makeContrasts(Del - Het, levels = y_design)
y_dgelrt <- glmLRT(y_dgeglm, contrast = y_contrast)
y_dt <- decideTests(y_dgelrt)

summary(y_dt) %>%
  knitr::kable(caption = "Number of DEGs (FDR < 0.05)")
Table 1: Number of DEGs (FDR < 0.05)
1Del -1Het
Down 78
NotSig 11362
Up 10
Show code
par(mfrow = c(1, 1))
plotMD(y_dgelrt)
MD plot highlighting DEGs (red).

Figure 6: MD plot highlighting DEGs (red).

An interactive Glimma MD plot of the differential expression results is available from output/DEGs/reads/glimma-plots/aggregated_tech_reps.md-plot.html.

Show code
glMDPlot(
  x = y_dgelrt,
  counts = y,
  anno = y$genes,
  display.columns = c("ENSEMBL.SYMBOL"),
  groups = y$samples$group,
  samples = colnames(y),
  status = y_dt,
  transform = TRUE,
  sample.cols = y$samples$smchd1_genotype_updated_colours,
  path = outdir,
  html = "aggregated_tech_reps.md-plot",
  launch = FALSE)
Show code
y_tt <- topTags(y_dgelrt, p.value = 0.05, n = Inf)
if (nrow(y_tt)) {
  y_tt$table[, c("logFC", "logCPM", "LR", "PValue", "FDR")] %>%
    DT::datatable(caption = "DEGs (FDR < 0.05)") %>%
    DT::formatSignif(
      c("logFC", "logCPM", "LR", "PValue", "FDR"),
      digits = 3)
}

CSV file of results available from output/DEGs/reads/.

Show code
gzout <- gzfile(
  description = file.path(outdir, "aggregated_tech_reps.DEGs.csv.gz"),
  open = "wb")
write.csv(
  topTags(y_dgelrt, n = Inf),
  gzout,
  # NOTE: quote = TRUE needed because some fields contain commas.
  quote = TRUE,
  row.names = FALSE)
close(gzout)

Figure 7 is a heatmap showing the expression of the DEGs.

Show code
pheatmap(
  cpm(y, log = TRUE)[rownames(y_tt), ],
  cluster_rows = TRUE,
  cluster_cols = FALSE,
  color = hcl.colors(101, "Blue-Red 3"),
  breaks = seq(-3, 3, length.out = 101),
  scale = "row",
  annotation_col = data.frame(
    genotype = y$samples$smchd1_genotype_updated,
    sex = y$samples$sex,
    row.names = colnames(y)),
  annotation_colors = list(
    genotype = smchd1_genotype_updated_colours,
    sex = sex_colours),
  main = "Male and female samples",
  fontsize = 9)
Heatmap of upper-quartile-normalized logCPM values for the DEGs.

Figure 7: Heatmap of upper-quartile-normalized logCPM values for the DEGs.

Gene set tests

Gene set testing is commonly used to interpret the differential expression results in a biological context. Here we apply various gene set tests to the DEG lists.

goana

We use the goana() function from the limma R/Bioconductor package to test for over-representation of gene ontology (GO) terms in each DEG list.

Show code
list_of_go <- lapply(colnames(y_contrast), function(j) {
  dgelrt <- glmLRT(y_dgeglm, contrast = y_contrast[, j])
  
  go <- goana(
    de = dgelrt,
    geneid = sapply(strsplit(dgelrt$genes$NCBI.ENTREZID, "; "), "[[", 1),
    species = "Mm")
  gzout <- gzfile(
    description = file.path(outdir, "aggregated_tech_reps.goana.csv.gz"),
    open = "wb")
  write.csv(
    topGO(go, number = Inf),
    gzout,
    row.names = TRUE)
  close(gzout)
  go
})
names(list_of_go) <- colnames(y_contrast)

CSV files of the results are available from output/DEGs/reads/.

An example of the results are shown below.

Show code
topGO(list_of_go[[1]]) %>%
  knitr::kable(
    caption = '`goana()` produces a table with a row for each GO term and the following columns: **Term** (GO term); **Ont** (ontology that the GO term belongs to. Possible values are "BP", "CC" and "MF"); **N** (number of genes in the GO term); **Up** (number of up-regulated differentially expressed genes); **Down** (number of down-regulated differentially expressed genes); **P.Up** (p-value for over-representation of GO term in up-regulated genes); **P.Down** (p-value for over-representation of GO term in down-regulated genes)')
Table 2: goana() produces a table with a row for each GO term and the following columns: Term (GO term); Ont (ontology that the GO term belongs to. Possible values are “BP,” “CC” and “MF”); N (number of genes in the GO term); Up (number of up-regulated differentially expressed genes); Down (number of down-regulated differentially expressed genes); P.Up (p-value for over-representation of GO term in up-regulated genes); P.Down (p-value for over-representation of GO term in down-regulated genes)
Term Ont N Up Down P.Up P.Down
GO:0007610 behavior BP 330 0 10 1.0000000 0.0000743
GO:0005886 plasma membrane CC 2383 2 31 0.6545710 0.0000942
GO:0008277 regulation of G protein-coupled receptor signaling pathway BP 73 0 5 1.0000000 0.0001331
GO:0071944 cell periphery CC 2469 2 31 0.6758572 0.0001873
GO:0006928 movement of cell or subcellular component BP 1156 2 19 0.2716901 0.0002006
GO:0060956 endocardial cell differentiation BP 4 0 2 1.0000000 0.0002710
GO:0060046 regulation of acrosome reaction BP 4 0 2 1.0000000 0.0002710
GO:0003348 cardiac endothelial cell differentiation BP 5 0 2 1.0000000 0.0004497
GO:0061343 cell adhesion involved in heart morphogenesis BP 5 0 2 1.0000000 0.0004497
GO:0045597 positive regulation of cell differentiation BP 670 0 13 1.0000000 0.0005275
GO:0072148 epithelial cell fate commitment BP 6 0 2 1.0000000 0.0006717
GO:0062043 positive regulation of cardiac epithelial to mesenchymal transition BP 6 0 2 1.0000000 0.0006717
GO:0062042 regulation of cardiac epithelial to mesenchymal transition BP 6 0 2 1.0000000 0.0006717
GO:0010717 regulation of epithelial to mesenchymal transition BP 59 0 4 1.0000000 0.0006757
GO:0051239 regulation of multicellular organismal process BP 1844 1 24 0.8308213 0.0008459
GO:0045153 electron transporter, transferring electrons within CoQH2-cytochrome c reductase complex activity MF 1 1 0 0.0008825 1.0000000
GO:0005887 integral component of plasma membrane CC 452 1 10 0.3344946 0.0009219
GO:0060973 cell migration involved in heart development BP 7 0 2 1.0000000 0.0009362
GO:0003198 epithelial to mesenchymal transition involved in endocardial cushion formation BP 7 0 2 1.0000000 0.0009362
GO:0005523 tropomyosin binding MF 7 0 2 1.0000000 0.0009362

kegga

We use the kegga() function from the limma R/Bioconductor package to test for over-representation of KEGG pathways in each DEG list.

Show code
list_of_kegg <- lapply(colnames(y_contrast), function(j) {
  dgelrt <- glmLRT(y_dgeglm, contrast = y_contrast[, j])
  
  kegg <- kegga(
    de = dgelrt,
    geneid = sapply(strsplit(dgelrt$genes$NCBI.ENTREZID, "; "), "[[", 1),
    species = "Mm")
  gzout <- gzfile(
    description = file.path(outdir, "aggregated_tech_reps.kegga.csv.gz"),
    open = "wb")
  write.csv(
    topKEGG(kegg, number = Inf),
    gzout,
    row.names = TRUE)
  close(gzout)
  kegg
})
names(list_of_kegg) <- colnames(y_contrast)

CSV files of the results are available from output/DEGs/reads/.

An example of the results are shown below.

Show code
topKEGG(list_of_kegg[[1]]) %>%
  knitr::kable(
    caption = '`kegga()` produces a table with a row for each KEGG pathway ID and the following columns: **Pathway** (KEGG pathway); **N** (number of genes in the GO term); **Up** (number of up-regulated differentially expressed genes); **Down** (number of down-regulated differentially expressed genes); **P.Up** (p-value for over-representation of KEGG pathway in up-regulated genes); **P.Down** (p-value for over-representation of KEGG pathway in down-regulated genes)')
Table 3: kegga() produces a table with a row for each KEGG pathway ID and the following columns: Pathway (KEGG pathway); N (number of genes in the GO term); Up (number of up-regulated differentially expressed genes); Down (number of down-regulated differentially expressed genes); P.Up (p-value for over-representation of KEGG pathway in up-regulated genes); P.Down (p-value for over-representation of KEGG pathway in down-regulated genes)
Pathway N Up Down P.Up P.Down
path:mmu04928 Parathyroid hormone synthesis, secretion and action 72 0 4 1.0000000 0.0014987
path:mmu04919 Thyroid hormone signaling pathway 95 0 4 1.0000000 0.0041173
path:mmu04724 Glutamatergic synapse 58 0 3 1.0000000 0.0073758
path:mmu00565 Ether lipid metabolism 24 0 2 1.0000000 0.0117017
path:mmu04915 Estrogen signaling pathway 80 0 3 1.0000000 0.0176377
path:mmu04929 GnRH secretion 37 0 2 1.0000000 0.0266607
path:mmu04072 Phospholipase D signaling pathway 101 0 3 1.0000000 0.0323083
path:mmu05032 Morphine addiction 42 0 2 1.0000000 0.0337172
path:mmu05200 Pathways in cancer 352 0 6 1.0000000 0.0340336
path:mmu04260 Cardiac muscle contraction 47 1 0 0.0407222 1.0000000
path:mmu04726 Serotonergic synapse 52 0 2 1.0000000 0.0497017
path:mmu04713 Circadian entrainment 53 0 2 1.0000000 0.0514257
path:mmu04621 NOD-like receptor signaling pathway 123 0 3 1.0000000 0.0527650
path:mmu04925 Aldosterone synthesis and secretion 55 0 2 1.0000000 0.0549374
path:mmu05206 MicroRNAs in cancer 129 0 3 1.0000000 0.0592099
path:mmu05322 Systemic lupus erythematosus 75 1 0 0.0642668 1.0000000
path:mmu05165 Human papillomavirus infection 221 0 4 1.0000000 0.0657841
path:mmu04014 Ras signaling pathway 136 0 3 1.0000000 0.0671756
path:mmu05211 Renal cell carcinoma 62 0 2 1.0000000 0.0678581
path:mmu00564 Glycerophospholipid metabolism 65 0 2 1.0000000 0.0736747

camera with MSigDB gene sets

We use the camera() function from the limma R/Bioconductor package to test whether a set of genes is highly ranked relative to other genes in terms of differential expression, accounting for inter-gene correlation. Specifically, we test using gene sets from MSigDB, namely:

Show code
# NOTE: Using BiocFileCache to avoid re-downloading these gene sets everytime 
#       the report is rendered.
library(BiocFileCache)
bfc <- BiocFileCache()
# NOTE: Creating list of gene sets in this slightly convoluted way so that each 
#       gene set name is prepended by its origin (e.g. H, C2, or C7).
msigdb <- do.call(
  c, 
  list(
    H = readRDS(
      bfcrpath(
        bfc,
        "http://bioinf.wehi.edu.au/MSigDB/v7.1/Mm.h.all.v7.1.entrez.rds")),
    C2 = readRDS(
      bfcrpath(
        bfc, 
        "http://bioinf.wehi.edu.au/MSigDB/v7.1/Mm.c2.all.v7.1.entrez.rds"))))

y_idx <- ids2indices(
  msigdb, 
  id = sapply(strsplit(y$genes$NCBI.ENTREZID, "; "), "[[", 1))
list_of_camera <- lapply(colnames(y_contrast), function(j) {
  cam <- camera(
    y = y, 
    index = y_idx,
    design = y_design, 
    contrast = y_contrast[, j])
  gzout <- gzfile(
    description = file.path(outdir, "aggregated_tech_reps.camera.csv.gz"),
    open = "wb")
  write.csv(
    cam,
    gzout,
    row.names = TRUE)
  close(gzout)
  cam
})
names(list_of_camera) <- colnames(y_contrast)

CSV files of the results are available from output/DEGs/reads.

An example of the results are shown below.

Show code
head(list_of_camera[[1]]) %>%
  knitr::kable(
    caption = '`camera()` produces a table with a row for each gene set (prepended by which MSigDB collection it comes from) and the following columns: **NGenes** (number of genes in set); **Direction** (direction of change); **PValue** (two-tailed p-value); **FDR** (Benjamini and Hochberg FDR adjusted p-value).')
Table 4: camera() produces a table with a row for each gene set (prepended by which MSigDB collection it comes from) and the following columns: NGenes (number of genes in set); Direction (direction of change); PValue (two-tailed p-value); FDR (Benjamini and Hochberg FDR adjusted p-value).
NGenes Direction PValue FDR
C2.KEGG_RIBOSOME 102 Up 0 6.0e-07
C2.REACTOME_EUKARYOTIC_TRANSLATION_ELONGATION 107 Up 0 2.3e-06
C2.REACTOME_SRP_DEPENDENT_COTRANSLATIONAL_PROTEIN_TARGETING_TO_MEMBRANE 130 Up 0 4.4e-06
C2.REACTOME_RESPIRATORY_ELECTRON_TRANSPORT_ATP_SYNTHESIS_BY_CHEMIOSMOTIC_COUPLING_AND_HEAT_PRODUCTION_BY_UNCOUPLING_PROTEINS 120 Up 0 4.4e-06
C2.REACTOME_RESPONSE_OF_EIF2AK4_GCN2_TO_AMINO_ACID_DEFICIENCY 115 Up 0 4.4e-06
C2.REACTOME_EUKARYOTIC_TRANSLATION_INITIATION 139 Up 0 4.4e-06

Sarah’s gene lists

Show code
y_X <- y$genes$ENSEMBL.SEQNAME == "X"
y_protocadherin <- grepl("Pcdh", rownames(y))
y_pw <- rownames(y) %in% c("Ndn", "Mkrn3", "Peg12")
y_male <- male_het_vs_del[
  male_het_vs_del$FDR < 0.05,
  c("ENSEMBL.SYMBOL", "logFC")]
y_female <- male_het_vs_del[
  female_het_vs_del$FDR < 0.05,
  c("ENSEMBL.SYMBOL", "logFC")]
y_sun <- sun_2014[, c("geneSymbol", "log2FC")]
y_chambers <- chambers_2007[, c("Gene Symbol", "Fold Difference")]
y_chambers$logFC <- log2(y_chambers$`Fold Difference`)
y_chambers$`Fold Difference` <- NULL
y_chambers <- y_chambers[!is.na(y_chambers$`Gene Symbol`), ]
y_chambers <- y_chambers[!duplicated(y_chambers$`Gene Symbol`), ]
y_gazit <- gazit_2013[, c("Symbol"), drop = FALSE]
y_gazit$Symbol <- paste(
  substring(y_gazit$Symbol, 1, 1), 
  tolower(substring(y_gazit$Symbol, 2)),
  sep = "")
y_gazit$logFC <- 1
y_chambers_gazit <- data.frame(
  Symbol = c(y_chambers$`Gene Symbol`, y_gazit$Symbol),
  logFC = c(y_chambers$logFC, y_gazit$logFC))
y_chambers_gazit <- y_chambers_gazit[!duplicated(y_chambers_gazit$Symbol), ]
y_venezia_proliferation <- rownames(y) %in% venezia_proliferation$Gene.Symbol
y_venezia_quiescence <- rownames(y) %in% venezia_quiescence$Gene.Symbol

y_index <- list(
  `X-linked` = y_X,
  Protocadherin = y_protocadherin,
  `Prader-Willi` = y_pw,
  `Male: Het vs. Del` = y_male,
  `Female: Het vs. Del` = y_female,
  `Sun (2014)` = y_sun,
  `Chambers (2007)` = y_chambers,
  `Gazit (2013)` = y_gazit,
  `Chambers (2007) & Gazit (2013)` = y_chambers_gazit,
  `Proliferation Group Venezia (2004)` = y_venezia_proliferation,
  `Quiescence Group Venezia (2004)` = y_venezia_quiescence)

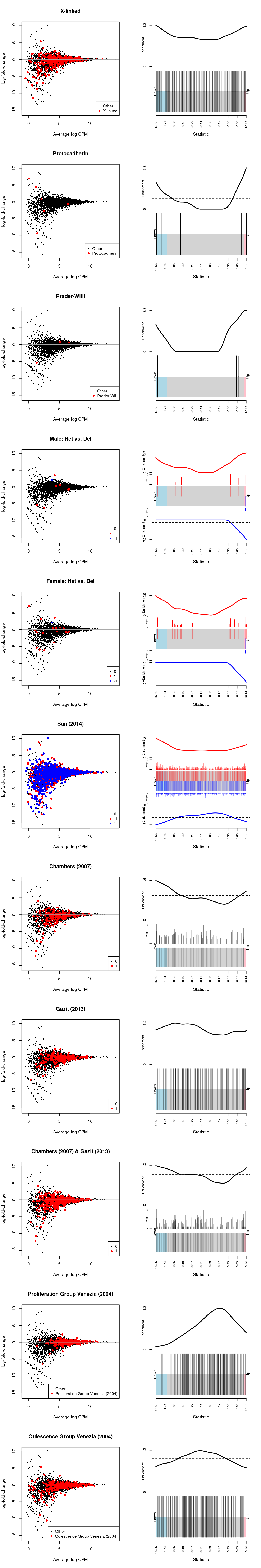
Sarah requested testing a number of gene sets (see Gene sets).

We use the fry() function from the edgeR R/Bioconductor package to perform a self-contained gene set test against the null hypothesis that none of the genes in the set are differentially expressed.

Show code
fry(
  y,
  index = y_index,
  design = y_design,
  contrast = y_contrast, 
  sort = "none") %>%
    knitr::kable(
      caption = "Results of applying `fry()` to the RNA-seq differential expression results using the supplied gene sets. A significant 'Up' P-value means that the differential expression results found in the RNA-seq data are positively correlated with the expression signature from the corresponding gene set. Conversely, a significant 'Down' P-value means that the differential expression log-fold-changes are negatively correlated with the expression signature from the corresponding gene set. A significant 'Mixed' P-value means that the genes in the set tend to be differentially expressed without regard for direction.")
Table 5: Results of applying fry() to the RNA-seq differential expression results using the supplied gene sets. A significant ‘Up’ P-value means that the differential expression results found in the RNA-seq data are positively correlated with the expression signature from the corresponding gene set. Conversely, a significant ‘Down’ P-value means that the differential expression log-fold-changes are negatively correlated with the expression signature from the corresponding gene set. A significant ‘Mixed’ P-value means that the genes in the set tend to be differentially expressed without regard for direction.
NGenes Direction PValue FDR PValue.Mixed FDR.Mixed
X-linked 388 Down 0.4732142 0.4732142 0.0000240 0.0002641
Protocadherin 4 Down 0.1818142 0.2499945 0.0359534 0.0395488
Prader-Willi 3 Up 0.2856524 0.3491307 0.4549877 0.4549877
Male: Het vs. Del 7 Up 0.0159925 0.0433171 0.0000583 0.0003203
Female: Het vs. Del 17 Up 0.1731703 0.2499945 0.0001075 0.0003203
Sun (2014) 1997 Down 0.3728438 0.4101281 0.0004929 0.0007745
Chambers (2007) 208 Down 0.0036999 0.0289609 0.0001395 0.0003203
Gazit (2013) 249 Down 0.0430404 0.0789075 0.0094767 0.0115826
Chambers (2007) & Gazit (2013) 404 Down 0.0066715 0.0289609 0.0001456 0.0003203
Proliferation Group Venezia (2004) 365 Up 0.0078984 0.0289609 0.0009692 0.0013326
Quiescence Group Venezia (2004) 382 Down 0.0196896 0.0433171 0.0003511 0.0006437
Show code
par(mfrow = c(length(y_index), 2))
for (n in names(y_index)) {
  if (is.data.frame(y_index[[n]])) {
    y_status <- rep(0, nrow(y_dgelrt))
    y_status[rownames(y) %in% y_index[[n]][, 1]] <-
      sign(y_index[[n]][y_index[[n]][, 1] %in% rownames(y), 2])
    plotMD(
      y_dgelrt,
      status = y_status,
      hl.col = c("red", "blue"),
      legend = "bottomright",
      main = n)
    abline(h = 0, col = "darkgrey")
  } else {
    y_status <- rep("Other", nrow(y_dgelrt))
    y_status[y_index[[n]]] <- n
    plotMD(
      y_dgelrt,
      status = y_status,
      values = n,
      hl.col = "red",
      legend = "bottomright",
      main = n)
    abline(h = 0, col = "darkgrey")
  }
  
  if (is.data.frame(y_index[[n]])) {
    barcodeplot(
      y_dgelrt$table$logFC,
      rownames(y) %in% y_index[[n]][, 1],
      gene.weights = y_index[[n]][
        y_index[[n]][, 1] %in% rownames(y), 2])
  } else {
    barcodeplot(
      y_dgelrt$table$logFC,
      y_index[[n]])
  }
}
MD-plot and barcode plot of DEGs in supplied gene sets. Directional gene sets have (1) MD plot points coloured according to the statistical significance of the gene **in the gene set** (2) barcode plot 'weights' given by the logFC of the gene **in the gene set**. For the barcode plot, genes are represented by bars and are ranked from left to right by increasing log-fold change. This forms the barcode-like pattern. The line (or *worm*) above the barcode shows the relative local enrichment of the vertical bars in each part of the plot. The dotted horizontal line indicates neutral enrichment; the worm above the dotted line shows enrichment while the worm below the dotted line shows depletion.

Figure 8: MD-plot and barcode plot of DEGs in supplied gene sets. Directional gene sets have (1) MD plot points coloured according to the statistical significance of the gene in the gene set (2) barcode plot ‘weights’ given by the logFC of the gene in the gene set. For the barcode plot, genes are represented by bars and are ranked from left to right by increasing log-fold change. This forms the barcode-like pattern. The line (or worm) above the barcode shows the relative local enrichment of the vertical bars in each part of the plot. The dotted horizontal line indicates neutral enrichment; the worm above the dotted line shows enrichment while the worm below the dotted line shows depletion.

Male-only: analysis of aggregated technical replicates

Show code
ym_differences <- makeGroups(ym$samples$smchd1_genotype_updated)
ym_ruv <- RUVs(
    x = betweenLaneNormalization(ym$counts, "upper"),
    cIdx = rownames(ym),
    k = 1,
    scIdx = ym_differences)

ym_design <- model.matrix(
  ~0 + smchd1_genotype_updated + ym_ruv$W,
  ym$samples)
colnames(ym_design) <- sub(
  "ruv\\$|smchd1_genotype_updated",
  "",
  colnames(ym_design))

MDS

Show code
ym_mds <- plotMDS(cpm(ym_ruv$normalizedCounts, log = TRUE), plot = FALSE)

ym_df <- cbind(data.frame(x = ym_mds$x, y = ym_mds$y), ym$samples)
rownames(ym_df) <- colnames(ym)

p1 <- ggplot(
  aes(x = x, y = y, colour = smchd1_genotype_updated, label = rownames(ym_df)),
  data = ym_df) +
  geom_point() +
  geom_text_repel(size = 2) +
  theme_cowplot(font_size = 8) +
  xlab("Leading logFC dim 1") +
  ylab("Leading logFC dim 2") +
  scale_colour_manual(values = smchd1_genotype_updated_colours)
p2 <- ggplot(
  aes(x = x, y = y, colour = sex, label = rownames(ym_df)),
  data = ym_df) +
  geom_point() +
  geom_text_repel(size = 2) +
  theme_cowplot(font_size = 8) +
  xlab("Leading logFC dim 1") +
  ylab("Leading logFC dim 2") +
  scale_colour_manual(values = sex_colours)
p3 <- ggplot(
  aes(x = x, y = y, colour = mouse_number, label = rownames(ym_df)),
  data = ym_df) +
  geom_point() +
  geom_text_repel(size = 2) +
  theme_cowplot(font_size = 8) +
  xlab("Leading logFC dim 1") +
  ylab("Leading logFC dim 2") +
  scale_colour_manual(values = mouse_number_colours)
p4 <- ggplot(
  aes(x = x, y = y, colour = log10(lib.size), label = rownames(ym_df)),
  data = ym_df) +
  geom_point() +
  geom_text_repel(size = 2) +
  theme_cowplot(font_size = 8) +
  scale_colour_viridis_c() +
  xlab("Leading logFC dim 1") +
  ylab("Leading logFC dim 2")

p1 + p2 + p3 + p4 + plot_layout(ncol = 2)
MDS plots of aggregated technical replicates following RUV coloured by various experimental factors.

Figure 9: MDS plots of aggregated technical replicates following RUV coloured by various experimental factors.

DE analysis

Fit a model using edgeR with a term for smchd1_genotype_updated.

Show code
ym <- estimateDisp(ym, ym_design)
par(mfrow = c(1, 1))
plotBCV(ym)
Show code
ym_dgeglm <- glmFit(ym, ym_design)
ym_contrast <- makeContrasts(Del - Het, levels = ym_design)
ym_dgelrt <- glmLRT(ym_dgeglm, contrast = ym_contrast)
ym_dt <- decideTests(ym_dgelrt)

summary(ym_dt) %>%
  knitr::kable(caption = "Number of DEGs (FDR < 0.05)")
Table 6: Number of DEGs (FDR < 0.05)
1Del -1Het
Down 44
NotSig 11543
Up 12
Show code
par(mfrow = c(1, 1))
plotMD(ym_dgelrt)
MD plot highlighting DEGs (red).

Figure 10: MD plot highlighting DEGs (red).

An interactive Glimma MD plot of the differential expression results is available from output/DEGs/reads/glimma-plots/aggregated_tech_reps.males.md-plot.html.

Show code
ym_tt <- topTags(ym_dgelrt, n = Inf, sort.by = "none")
glMDPlot(
  x = ym_dgelrt,
  counts = ym,
  anno = ym$genes,
  display.columns = c("ENSEMBL.SYMBOL"),
  groups = ym$samples$group,
  samples = colnames(ym),
  status = ym_dt,
  transform = TRUE,
  sample.cols = ym$samples$smchd1_genotype_updated_colours,
  path = outdir,
  html = "aggregated_tech_reps.males.md-plot",
  launch = FALSE)
Show code
ym_tt <- topTags(ym_dgelrt, p.value = 0.05, n = Inf)
if (nrow(ym_tt)) {
  ym_tt$table[, c("logFC", "logCPM", "LR", "PValue", "FDR")] %>%
    DT::datatable(caption = "DEGs (FDR < 0.05)") %>%
    DT::formatSignif(
      c("logFC", "logCPM", "LR", "PValue", "FDR"),
      digits = 3)
}

CSV file of results available from output/DEGs/reads/aggregated_tech_reps.males.DEGs.csv.gz.

Show code
gzout <- gzfile(
  description = file.path(outdir, "aggregated_tech_reps.males.DEGs.csv.gz"),
  open = "wb")
write.csv(
  topTags(ym_dgelrt, n = Inf),
  gzout,
  # NOTE: quote = TRUE needed because some fields contain commas.
  quote = TRUE,
  row.names = FALSE)
close(gzout)

Figure 11 is a heatmap showing the expression of the DEGs.

Show code
pheatmap(
  cpm(ym, log = TRUE)[rownames(ym_tt), ],
  cluster_rows = TRUE,
  cluster_cols = FALSE,
  color = hcl.colors(101, "Blue-Red 3"),
  breaks = seq(-3, 3, length.out = 101),
  scale = "row",
  annotation_col = data.frame(
    genotype = ym$samples$smchd1_genotype_updated,
    sex = ym$samples$sex,
    row.names = colnames(ym)),
  annotation_colors = list(
    genotype = smchd1_genotype_updated_colours,
    sex = sex_colours),
  main = "Male samples",
  fontsize = 9)
Heatmap of upper-quartile-normalzied logCPM values for the DEGs.

Figure 11: Heatmap of upper-quartile-normalzied logCPM values for the DEGs.

Gene set tests

Gene set testing is commonly used to interpret the differential expression results in a biological context. Here we apply various gene set tests to the DEG lists.

goana

We use the goana() function from the limma R/Bioconductor package to test for over-representation of gene ontology (GO) terms in each DEG list.

Show code
list_of_go <- lapply(colnames(ym_contrast), function(j) {
  dgelrt <- glmLRT(ym_dgeglm, contrast = ym_contrast[, j])
  
  go <- goana(
    de = dgelrt,
    geneid = sapply(strsplit(dgelrt$genes$NCBI.ENTREZID, "; "), "[[", 1),
    species = "Mm")
  gzout <- gzfile(
    description = file.path(outdir, "aggregated_tech_reps.males.goana.csv.gz"),
    open = "wb")
  write.csv(
    topGO(go, number = Inf),
    gzout,
    row.names = TRUE)
  close(gzout)
  go
})
names(list_of_go) <- colnames(ym_contrast)

CSV files of the results are available from output/DEGs/reads/.

An example of the results are shown below.

Show code
topGO(list_of_go[[1]]) %>%
  knitr::kable(
    caption = '`goana()` produces a table with a row for each GO term and the following columns: **Term** (GO term); **Ont** (ontology that the GO term belongs to. Possible values are "BP", "CC" and "MF"); **N** (number of genes in the GO term); **Up** (number of up-regulated differentially expressed genes); **Down** (number of down-regulated differentially expressed genes); **P.Up** (p-value for over-representation of GO term in up-regulated genes); **P.Down** (p-value for over-representation of GO term in down-regulated genes)')
Table 7: goana() produces a table with a row for each GO term and the following columns: Term (GO term); Ont (ontology that the GO term belongs to. Possible values are “BP,” “CC” and “MF”); N (number of genes in the GO term); Up (number of up-regulated differentially expressed genes); Down (number of down-regulated differentially expressed genes); P.Up (p-value for over-representation of GO term in up-regulated genes); P.Down (p-value for over-representation of GO term in down-regulated genes)
Term Ont N Up Down P.Up P.Down
GO:0048786 presynaptic active zone CC 48 0 4 1.0000000 0.0000323
GO:0006633 fatty acid biosynthetic process BP 92 3 0 0.0001039 1.0000000
GO:0016079 synaptic vesicle exocytosis BP 70 0 4 1.0000000 0.0001431
GO:0099568 cytoplasmic region CC 134 0 5 1.0000000 0.0001514
GO:0072330 monocarboxylic acid biosynthetic process BP 113 3 0 0.0001914 1.0000000
GO:0071398 cellular response to fatty acid BP 21 2 0 0.0002080 1.0000000
GO:0045055 regulated exocytosis BP 147 0 5 1.0000000 0.0002334
GO:0043207 response to external biotic stimulus BP 715 1 10 0.5378743 0.0002948
GO:0051707 response to other organism BP 715 1 10 0.5378743 0.0002948
GO:0009607 response to biotic stimulus BP 739 1 10 0.5500911 0.0003843
GO:0007269 neurotransmitter secretion BP 94 0 4 1.0000000 0.0004451
GO:0099643 signal release from synapse BP 94 0 4 1.0000000 0.0004451
GO:0070542 response to fatty acid BP 31 2 0 0.0004578 1.0000000
GO:0007080 mitotic metaphase plate congression BP 40 0 3 1.0000000 0.0004699
GO:0032838 plasma membrane bounded cell projection cytoplasm CC 102 0 4 1.0000000 0.0006066
GO:0007052 mitotic spindle organization BP 103 0 4 1.0000000 0.0006294
GO:0043312 neutrophil degranulation BP 10 0 2 1.0000000 0.0006334
GO:0030425 dendrite CC 395 1 7 0.3431457 0.0006892
GO:0097447 dendritic tree CC 396 1 7 0.3438566 0.0006996
GO:0046394 carboxylic acid biosynthetic process BP 184 3 0 0.0008007 1.0000000

kegga

We use the kegga() function from the limma R/Bioconductor package to test for over-representation of KEGG pathways in each DEG list.

Show code
list_of_kegg <- lapply(colnames(ym_contrast), function(j) {
  dgelrt <- glmLRT(ym_dgeglm, contrast = ym_contrast[, j])
  
  kegg <- kegga(
    de = dgelrt,
    geneid = sapply(strsplit(dgelrt$genes$NCBI.ENTREZID, "; "), "[[", 1),
    species = "Mm")
  gzout <- gzfile(
    description = file.path(outdir, "aggregated_tech_reps.males.kegga.csv.gz"),
    open = "wb")
  write.csv(
    topKEGG(kegg, number = Inf),
    gzout,
    row.names = TRUE)
  close(gzout)
  kegg
})
names(list_of_kegg) <- colnames(ym_contrast)

CSV files of the results are available from output/DEGs/reads/.

An example of the results are shown below.

Show code
topKEGG(list_of_kegg[[1]]) %>%
  knitr::kable(
    caption = '`kegga()` produces a table with a row for each KEGG pathway ID and the following columns: **Pathway** (KEGG pathway); **N** (number of genes in the GO term); **Up** (number of up-regulated differentially expressed genes); **Down** (number of down-regulated differentially expressed genes); **P.Up** (p-value for over-representation of KEGG pathway in up-regulated genes); **P.Down** (p-value for over-representation of KEGG pathway in down-regulated genes)')
Table 8: kegga() produces a table with a row for each KEGG pathway ID and the following columns: Pathway (KEGG pathway); N (number of genes in the GO term); Up (number of up-regulated differentially expressed genes); Down (number of down-regulated differentially expressed genes); P.Up (p-value for over-representation of KEGG pathway in up-regulated genes); P.Down (p-value for over-representation of KEGG pathway in down-regulated genes)
Pathway N Up Down P.Up P.Down
path:mmu05418 Fluid shear stress and atherosclerosis 106 2 0 0.0052450 1.0000000
path:mmu04130 SNARE interactions in vesicular transport 31 0 2 1.0000000 0.0062180
path:mmu00534 Glycosaminoglycan biosynthesis - heparan sulfate / heparin 15 1 0 0.0155706 1.0000000
path:mmu04080 Neuroactive ligand-receptor interaction 53 0 2 1.0000000 0.0174721
path:mmu00982 Drug metabolism - cytochrome P450 22 1 0 0.0227606 1.0000000
path:mmu05204 Chemical carcinogenesis - DNA adducts 23 1 0 0.0237838 1.0000000
path:mmu00980 Metabolism of xenobiotics by cytochrome P450 25 1 0 0.0258272 1.0000000
path:mmu04979 Cholesterol metabolism 28 1 0 0.0288851 1.0000000
path:mmu04710 Circadian rhythm 28 1 0 0.0288851 1.0000000
path:mmu04978 Mineral absorption 28 1 0 0.0288851 1.0000000
path:mmu00561 Glycerolipid metabolism 40 1 0 0.0410286 1.0000000
path:mmu03320 PPAR signaling pathway 41 1 0 0.0420342 1.0000000
path:mmu05410 Hypertrophic cardiomyopathy 44 1 0 0.0450454 1.0000000
path:mmu00601 Glycosphingolipid biosynthesis - lacto and neolacto series 12 0 1 1.0000000 0.0450454
path:mmu00983 Drug metabolism - other enzymes 46 1 0 0.0470480 1.0000000
path:mmu04213 Longevity regulating pathway - multiple species 48 1 0 0.0490468 1.0000000
path:mmu04920 Adipocytokine signaling pathway 49 1 0 0.0500447 1.0000000
path:mmu00480 Glutathione metabolism 50 1 0 0.0510417 1.0000000
path:mmu01524 Platinum drug resistance 65 1 0 0.0658817 1.0000000
path:mmu04211 Longevity regulating pathway 71 1 0 0.0717580 1.0000000

camera with MSigDB gene sets

We use the camera() function from the limma R/Bioconductor package to test whether a set of genes is highly ranked relative to other genes in terms of differential expression, accounting for inter-gene correlation. Specifically, we test using gene sets from MSigDB, namely:

Show code
ym_idx <- ids2indices(
  msigdb, 
  id = sapply(strsplit(ym$genes$NCBI.ENTREZID, "; "), "[[", 1))
list_of_camera <- lapply(colnames(ym_contrast), function(j) {
  cam <- camera(
    y = ym, 
    index = ym_idx,
    design = ym_design, 
    contrast = ym_contrast[, j])
  gzout <- gzfile(
    description = file.path(outdir, "aggregated_tech_reps.males.camera.csv.gz"),
    open = "wb")
  write.csv(
    cam,
    gzout,
    row.names = TRUE)
  close(gzout)
  cam
})
names(list_of_camera) <- colnames(ym_contrast)

CSV files of the results are available from output/DEGs/reads.

An example of the results are shown below.

Show code
head(list_of_camera[[1]]) %>%
  knitr::kable(
    caption = '`camera()` produces a table with a row for each gene set (prepended by which MSigDB collection it comes from) and the following columns: **NGenes** (number of genes in set); **Direction** (direction of change); **PValue** (two-tailed p-value); **FDR** (Benjamini and Hochberg FDR adjusted p-value).')
Table 9: camera() produces a table with a row for each gene set (prepended by which MSigDB collection it comes from) and the following columns: NGenes (number of genes in set); Direction (direction of change); PValue (two-tailed p-value); FDR (Benjamini and Hochberg FDR adjusted p-value).
NGenes Direction PValue FDR
H.HALLMARK_MYC_TARGETS_V1 229 Up 0.0000535 0.2203915
C2.JOHANSSON_GLIOMAGENESIS_BY_PDGFB_DN 19 Down 0.0000794 0.2203915
C2.REACTOME_ELECTRIC_TRANSMISSION_ACROSS_GAP_JUNCTIONS 2 Up 0.0001400 0.2592181
C2.RAHMAN_TP53_TARGETS_PHOSPHORYLATED 25 Up 0.0002956 0.3456734
C2.REACTOME_UNWINDING_OF_DNA 12 Up 0.0003112 0.3456734
C2.PID_MYC_ACTIV_PATHWAY 95 Up 0.0003762 0.3482163

Sarah’s gene lists

Show code
ym_X <- ym$genes$ENSEMBL.SEQNAME == "X"
ym_protocadherin <- grepl("Pcdh", rownames(ym))
ym_pw <- rownames(ym) %in% c("Ndn", "Mkrn3", "Peg12")
ym_male <- male_het_vs_del[
  male_het_vs_del$FDR < 0.05,
  c("ENSEMBL.SYMBOL", "logFC")]
ym_female <- male_het_vs_del[
  female_het_vs_del$FDR < 0.05,
  c("ENSEMBL.SYMBOL", "logFC")]
ym_sun <- sun_2014[, c("geneSymbol", "log2FC")]
ym_chambers <- chambers_2007[, c("Gene Symbol", "Fold Difference")]
ym_chambers$logFC <- log2(ym_chambers$`Fold Difference`)
ym_chambers$`Fold Difference` <- NULL
ym_chambers <- ym_chambers[!is.na(ym_chambers$`Gene Symbol`), ]
ym_chambers <- ym_chambers[!duplicated(ym_chambers$`Gene Symbol`), ]
ym_gazit <- gazit_2013[, c("Symbol"), drop = FALSE]
ym_gazit$Symbol <- paste(
  substring(ym_gazit$Symbol, 1, 1), 
  tolower(substring(ym_gazit$Symbol, 2)),
  sep = "")
ym_gazit$logFC <- 1
ym_chambers_gazit <- data.frame(
  Symbol = c(ym_chambers$`Gene Symbol`, ym_gazit$Symbol),
  logFC = c(ym_chambers$logFC, ym_gazit$logFC))
ym_chambers_gazit <- ym_chambers_gazit[!duplicated(ym_chambers_gazit$Symbol), ]
ym_venezia_proliferation <- rownames(ym) %in% venezia_proliferation$Gene.Symbol
ym_venezia_quiescence <- rownames(ym) %in% venezia_quiescence$Gene.Symbol

ym_index <- list(
  `X-linked` = ym_X,
  Protocadherin = ym_protocadherin,
  `Prader-Willi` = ym_pw,
  `Male: Het vs. Del` = ym_male,
  `Female: Het vs. Del` = ym_female,
  `Sun (2014)` = ym_sun,
  `Chambers (2007)` = ym_chambers,
  `Gazit (2013)` = ym_gazit,
  `Chambers (2007) & Gazit (2013)` = ym_chambers_gazit,
  `Proliferation Group Venezia (2004)` = ym_venezia_proliferation,
  `Quiescence Group Venezia (2004)` = ym_venezia_quiescence)

Sarah requested testing a number of gene sets (see Gene sets).

We use the fry() function from the edgeR R/Bioconductor package to perform a self-contained gene set test against the null hypothesis that none of the genes in the set are differentially expressed.

Show code
fry(
  ym, 
  index = ym_index, 
  design = ym_design,
  contrast = ym_contrast,
  sort = "none") %>%
    knitr::kable(
      caption = "Results of applying `fry()` to the RNA-seq differential expression results using the supplied gene sets. A significant 'Up' P-value means that the differential expression results found in the RNA-seq data are positively correlated with the expression signature from the corresponding gene set. Conversely, a significant 'Down' P-value means that the differential expression log-fold-changes are negatively correlated with the expression signature from the corresponding gene set. A significant 'Mixed' P-value means that the genes in the set tend to be differentially expressed without regard for direction.")
Table 10: Results of applying fry() to the RNA-seq differential expression results using the supplied gene sets. A significant ‘Up’ P-value means that the differential expression results found in the RNA-seq data are positively correlated with the expression signature from the corresponding gene set. Conversely, a significant ‘Down’ P-value means that the differential expression log-fold-changes are negatively correlated with the expression signature from the corresponding gene set. A significant ‘Mixed’ P-value means that the genes in the set tend to be differentially expressed without regard for direction.
NGenes Direction PValue FDR PValue.Mixed FDR.Mixed
X-linked 392 Down 0.0346948 0.1056738 0.0085836 0.0157366
Protocadherin 6 Up 0.3718805 0.5843836 0.0278469 0.0437594
Prader-Willi 3 Up 0.5392710 0.6210234 0.0766661 0.0843327
Male: Het vs. Del 8 Up 0.5645667 0.6210234 0.2702930 0.2702930
Female: Het vs. Del 19 Up 0.4705836 0.6210234 0.0074240 0.0157366
Sun (2014) 2023 Up 0.7412489 0.7412489 0.0029447 0.0081364
Chambers (2007) 206 Down 0.0047591 0.0261751 0.0029587 0.0081364
Gazit (2013) 248 Down 0.1999566 0.3665871 0.0007036 0.0077392
Chambers (2007) & Gazit (2013) 402 Down 0.0030405 0.0261751 0.0028950 0.0081364
Proliferation Group Venezia (2004) 364 Up 0.0480335 0.1056738 0.0698494 0.0843327
Quiescence Group Venezia (2004) 383 Down 0.0410618 0.1056738 0.0366139 0.0503441
Show code
par(mfrow = c(length(ym_index), 2))
for (n in names(ym_index)) {
  if (is.data.frame(ym_index[[n]])) {
    ym_status <- rep(0, nrow(ym_dgelrt))
    ym_status[rownames(ym) %in% ym_index[[n]][, 1]] <-
      sign(ym_index[[n]][ym_index[[n]][, 1] %in% rownames(ym), 2])
    plotMD(
      ym_dgelrt,
      status = ym_status,
      hl.col = c("red", "blue"),
      legend = "bottomright",
      main = n)
    abline(h = 0, col = "darkgrey")
  } else {
    ym_status <- rep("Other", nrow(ym_dgelrt))
    ym_status[ym_index[[n]]] <- n
    plotMD(
      ym_dgelrt,
      status = ym_status,
      values = n,
      hl.col = "red",
      legend = "bottomright",
      main = n)
    abline(h = 0, col = "darkgrey")
  }
  
  if (is.data.frame(ym_index[[n]])) {
    barcodeplot(
      ym_dgelrt$table$logFC,
      rownames(ym) %in% ym_index[[n]][, 1],
      gene.weights = ym_index[[n]][
        ym_index[[n]][, 1] %in% rownames(ym), 2])
  } else {
    barcodeplot(
      ym_dgelrt$table$logFC,
      ym_index[[n]])
  }
}
MD-plot and barcode plot of DEGs in supplied gene sets. Directional gene sets have (1) MD plot points coloured according to the statistical significance of the gene **in the gene set** (2) barcode plot 'weights' given by the logFC of the gene **in the gene set**. For the barcode plot, genes are represented by bars and are ranked from left to right by increasing log-fold change. This forms the barcode-like pattern. The line (or *worm*) above the barcode shows the relative local enrichment of the vertical bars in each part of the plot. The dotted horizontal line indicates neutral enrichment; the worm above the dotted line shows enrichment while the worm below the dotted line shows depletion.

Figure 12: MD-plot and barcode plot of DEGs in supplied gene sets. Directional gene sets have (1) MD plot points coloured according to the statistical significance of the gene in the gene set (2) barcode plot ‘weights’ given by the logFC of the gene in the gene set. For the barcode plot, genes are represented by bars and are ranked from left to right by increasing log-fold change. This forms the barcode-like pattern. The line (or worm) above the barcode shows the relative local enrichment of the vertical bars in each part of the plot. The dotted horizontal line indicates neutral enrichment; the worm above the dotted line shows enrichment while the worm below the dotted line shows depletion.

Female-only: analysis of aggregated technical replicates

Show code
yf_differences <- makeGroups(yf$samples$smchd1_genotype_updated)
yf_ruv <- RUVs(
    x = betweenLaneNormalization(yf$counts, "upper"),
    cIdx = rownames(yf),
    k = 1,
    scIdx = yf_differences)

yf_design <- model.matrix(
  ~0 + smchd1_genotype_updated + yf_ruv$W,
  yf$samples)
colnames(yf_design) <- sub(
  "ruv\\$|smchd1_genotype_updated",
  "",
  colnames(yf_design))

MDS

Show code
yf_mds <- plotMDS(cpm(yf_ruv$normalizedCounts, log = TRUE), plot = FALSE)

yf_df <- cbind(data.frame(x = yf_mds$x, y = yf_mds$y), yf$samples)
rownames(yf_df) <- colnames(yf)

p1 <- ggplot(
  aes(x = x, y = y, colour = smchd1_genotype_updated, label = rownames(yf_df)),
  data = yf_df) +
  geom_point() +
  geom_text_repel(size = 2) +
  theme_cowplot(font_size = 8) +
  xlab("Leading logFC dim 1") +
  ylab("Leading logFC dim 2") +
  scale_colour_manual(values = smchd1_genotype_updated_colours)
p2 <- ggplot(
  aes(x = x, y = y, colour = sex, label = rownames(yf_df)),
  data = yf_df) +
  geom_point() +
  geom_text_repel(size = 2) +
  theme_cowplot(font_size = 8) +
  xlab("Leading logFC dim 1") +
  ylab("Leading logFC dim 2") +
  scale_colour_manual(values = sex_colours)
p3 <- ggplot(
  aes(x = x, y = y, colour = mouse_number, label = rownames(yf_df)),
  data = yf_df) +
  geom_point() +
  geom_text_repel(size = 2) +
  theme_cowplot(font_size = 8) +
  xlab("Leading logFC dim 1") +
  ylab("Leading logFC dim 2") +
  scale_colour_manual(values = mouse_number_colours)
p4 <- ggplot(
  aes(x = x, y = y, colour = log10(lib.size), label = rownames(yf_df)),
  data = yf_df) +
  geom_point() +
  geom_text_repel(size = 2) +
  theme_cowplot(font_size = 8) +
  scale_colour_viridis_c() +
  xlab("Leading logFC dim 1") +
  ylab("Leading logFC dim 2")

p1 + p2 + p3 + p4 + plot_layout(ncol = 2)
MDS plots of aggregated technical replicates following RUV coloured by various experimental factors.

Figure 13: MDS plots of aggregated technical replicates following RUV coloured by various experimental factors.

DE analysis

Fit a model using edgeR with a term for smchd1_genotype_updated.

Show code
yf <- estimateDisp(yf, yf_design)
par(mfrow = c(1, 1))
plotBCV(yf)
Show code
yf_dgeglm <- glmFit(yf, yf_design)
yf_contrast <- makeContrasts(Del - Het, levels = yf_design)
yf_dgelrt <- glmLRT(yf_dgeglm, contrast = yf_contrast)
yf_dt <- decideTests(yf_dgelrt)

summary(yf_dt) %>%
  knitr::kable(caption = "Number of DEGs (FDR < 0.05)")
Table 11: Number of DEGs (FDR < 0.05)
1Del -1Het
Down 40
NotSig 11468
Up 5
Show code
par(mfrow = c(1, 1))
plotMD(yf_dgelrt)
MD plot highlighting DEGs (red).

Figure 14: MD plot highlighting DEGs (red).

An interactive Glimma MD plot of the differential expression results is available from output/DEGs/reads/glimma-plots/aggregated_tech_reps.females.md-plot.html.

Show code
yf_tt <- topTags(yf_dgelrt, n = Inf, sort.by = "none")
glMDPlot(
  x = yf_dgelrt,
  counts = yf,
  anno = yf$genes,
  display.columns = c("ENSEMBL.SYMBOL"),
  groups = yf$samples$group,
  samples = colnames(yf),
  status = yf_dt,
  transform = TRUE,
  sample.cols = yf$samples$smchd1_genotype_updated_colours,
  path = outdir,
  html = "aggregated_tech_reps.females.md-plot",
  launch = FALSE)
Show code
yf_tt <- topTags(yf_dgelrt, p.value = 0.05, n = Inf)
if (nrow(yf_tt)) {
  yf_tt$table[, c("logFC", "logCPM", "LR", "PValue", "FDR")] %>%
    DT::datatable(caption = "DEGs (FDR < 0.05)") %>%
    DT::formatSignif(
      c("logFC", "logCPM", "LR", "PValue", "FDR"),
      digits = 3)
}

CSV file of results available from output/DEGs/reads/aggregated_tech_reps.females.DEGs.csv.gz.

Show code
gzout <- gzfile(
  description = file.path(outdir, "aggregated_tech_reps.females.DEGs.csv.gz"),
  open = "wb")
write.csv(
  topTags(yf_dgelrt, n = Inf),
  gzout,
  # NOTE: quote = TRUE needed because some fields contain commas.
  quote = TRUE,
  row.names = FALSE)
close(gzout)
Show code
heatmapForPaper <- function() {
  pheatmap(
    cpm(yf, log = TRUE)[rownames(yf_tt), ],
    cluster_rows = TRUE,
    cluster_cols = FALSE,
    color = hcl.colors(101, "Blue-Red 3"),
    breaks = seq(-3, 3, length.out = 101),
    scale = "row",
    annotation_col = data.frame(
      genotype = yf$samples$smchd1_genotype_updated,
      sex = yf$samples$sex,
      row.names = colnames(yf)),
    annotation_colors = list(
      genotype = smchd1_genotype_updated_colours,
      sex = sex_colours),
    main = "Female samples",
    fontsize = 9)
}

Figure 15 is a heatmap showing the expression of the DEGs.

Show code
heatmapForPaper()
Heatmap of upper-quartile-normalzied logCPM values for the DEGs.

Figure 15: Heatmap of upper-quartile-normalzied logCPM values for the DEGs.

Show code
dev.off()
dir.create(here("output/figures/paper"))
pdf(here("output/figures/paper/heatmap.pdf"), height = 9, width = 6)
par(mfrow = c(1, 1))
heatmapForPaper()
dev.off()

Gene set tests

Gene set testing is commonly used to interpret the differential expression results in a biological context. Here we apply various gene set tests to the DEG lists.

goana

We use the goana() function from the limma R/Bioconductor package to test for over-representation of gene ontology (GO) terms in each DEG list.

Show code
list_of_go <- lapply(colnames(yf_contrast), function(j) {
  dgelrt <- glmLRT(yf_dgeglm, contrast = yf_contrast[, j])
  
  go <- goana(
    de = dgelrt,
    geneid = sapply(strsplit(dgelrt$genes$NCBI.ENTREZID, "; "), "[[", 1),
    species = "Mm")
  gzout <- gzfile(
    description = file.path(
      outdir, 
      "aggregated_tech_reps.females.goana.csv.gz"),
    open = "wb")
  write.csv(
    topGO(go, number = Inf),
    gzout,
    row.names = TRUE)
  close(gzout)
  go
})
names(list_of_go) <- colnames(yf_contrast)

CSV files of the results are available from output/DEGs/reads/.

An example of the results are shown below.

Show code
topGO(list_of_go[[1]]) %>%
  knitr::kable(
    caption = '`goana()` produces a table with a row for each GO term and the following columns: **Term** (GO term); **Ont** (ontology that the GO term belongs to. Possible values are "BP", "CC" and "MF"); **N** (number of genes in the GO term); **Up** (number of up-regulated differentially expressed genes); **Down** (number of down-regulated differentially expressed genes); **P.Up** (p-value for over-representation of GO term in up-regulated genes); **P.Down** (p-value for over-representation of GO term in down-regulated genes)')
Table 12: goana() produces a table with a row for each GO term and the following columns: Term (GO term); Ont (ontology that the GO term belongs to. Possible values are “BP,” “CC” and “MF”); N (number of genes in the GO term); Up (number of up-regulated differentially expressed genes); Down (number of down-regulated differentially expressed genes); P.Up (p-value for over-representation of GO term in up-regulated genes); P.Down (p-value for over-representation of GO term in down-regulated genes)
Term Ont N Up Down P.Up P.Down
GO:0009653 anatomical structure morphogenesis BP 1565 1 19 0.5223220 0.0000003
GO:0048562 embryonic organ morphogenesis BP 156 0 6 1.0000000 0.0000156
GO:0050996 positive regulation of lipid catabolic process BP 15 2 0 0.0000161 1.0000000
GO:0048754 branching morphogenesis of an epithelial tube BP 93 0 5 1.0000000 0.0000171
GO:0048568 embryonic organ development BP 268 0 7 1.0000000 0.0000353
GO:0035993 deltoid tuberosity development BP 3 0 2 1.0000000 0.0000360
GO:0061138 morphogenesis of a branching epithelium BP 110 0 5 1.0000000 0.0000385
GO:0007166 cell surface receptor signaling pathway BP 1413 1 15 0.4842227 0.0000454
GO:0001763 morphogenesis of a branching structure BP 118 0 5 1.0000000 0.0000539
GO:0061061 muscle structure development BP 393 0 8 1.0000000 0.0000544
GO:0009887 animal organ morphogenesis BP 533 0 9 1.0000000 0.0000746
GO:0014902 myotube differentiation BP 68 0 4 1.0000000 0.0000902
GO:0050994 regulation of lipid catabolic process BP 35 2 0 0.0000911 1.0000000
GO:0090596 sensory organ morphogenesis BP 137 0 5 1.0000000 0.0001095
GO:0048593 camera-type eye morphogenesis BP 72 0 4 1.0000000 0.0001128
GO:0090630 activation of GTPase activity BP 75 0 4 1.0000000 0.0001322
GO:0019199 transmembrane receptor protein kinase activity MF 30 0 3 1.0000000 0.0001523
GO:0048557 embryonic digestive tract morphogenesis BP 6 0 2 1.0000000 0.0001786
GO:0003170 heart valve development BP 32 0 3 1.0000000 0.0001852
GO:0001707 mesoderm formation BP 33 0 3 1.0000000 0.0002032

kegga

We use the kegga() function from the limma R/Bioconductor package to test for over-representation of KEGG pathways in each DEG list.

Show code
list_of_kegg <- lapply(colnames(yf_contrast), function(j) {
  dgelrt <- glmLRT(yf_dgeglm, contrast = yf_contrast[, j])
  
  kegg <- kegga(
    de = dgelrt,
    geneid = sapply(strsplit(dgelrt$genes$NCBI.ENTREZID, "; "), "[[", 1),
    species = "Mm")
  gzout <- gzfile(
    description = file.path(
      outdir,
      "aggregated_tech_reps.females.kegga.csv.gz"),
    open = "wb")
  write.csv(
    topKEGG(kegg, number = Inf),
    gzout,
    row.names = TRUE)
  close(gzout)
  kegg
})
names(list_of_kegg) <- colnames(yf_contrast)

CSV files of the results are available from output/DEGs/reads/.

An example of the results are shown below.

Show code
topKEGG(list_of_kegg[[1]]) %>%
  knitr::kable(
    caption = '`kegga()` produces a table with a row for each KEGG pathway ID and the following columns: **Pathway** (KEGG pathway); **N** (number of genes in the GO term); **Up** (number of up-regulated differentially expressed genes); **Down** (number of down-regulated differentially expressed genes); **P.Up** (p-value for over-representation of KEGG pathway in up-regulated genes); **P.Down** (p-value for over-representation of KEGG pathway in down-regulated genes)')
Table 13: kegga() produces a table with a row for each KEGG pathway ID and the following columns: Pathway (KEGG pathway); N (number of genes in the GO term); Up (number of up-regulated differentially expressed genes); Down (number of down-regulated differentially expressed genes); P.Up (p-value for over-representation of KEGG pathway in up-regulated genes); P.Down (p-value for over-representation of KEGG pathway in down-regulated genes)
Pathway N Up Down P.Up P.Down
path:mmu04360 Axon guidance 109 0 3 1.0000000 0.0065037
path:mmu00532 Glycosaminoglycan biosynthesis - chondroitin sulfate / dermatan sulfate 15 1 0 0.0065651 1.0000000
path:mmu04340 Hedgehog signaling pathway 42 0 2 1.0000000 0.0094658
path:mmu02010 ABC transporters 25 1 0 0.0109226 1.0000000
path:mmu04979 Cholesterol metabolism 29 1 0 0.0126614 1.0000000
path:mmu04350 TGF-beta signaling pathway 55 0 2 1.0000000 0.0158649
path:mmu05321 Inflammatory bowel disease 38 1 0 0.0165646 1.0000000
path:mmu05100 Bacterial invasion of epithelial cells 61 0 2 1.0000000 0.0192945
path:mmu05211 Renal cell carcinoma 62 0 2 1.0000000 0.0198939
path:mmu04658 Th1 and Th2 cell differentiation 65 1 0 0.0282002 1.0000000
path:mmu04650 Natural killer cell mediated cytotoxicity 67 1 0 0.0290577 1.0000000
path:mmu04146 Peroxisome 67 1 1 0.0290577 0.2104325
path:mmu05200 Pathways in cancer 352 1 4 0.1452135 0.0341319
path:mmu04630 JAK-STAT signaling pathway 94 1 1 0.0405748 0.2824260
path:mmu04060 Cytokine-cytokine receptor interaction 96 1 1 0.0414235 0.2874965
path:mmu00650 Butanoate metabolism 16 0 1 1.0000000 0.0547407
path:mmu00410 beta-Alanine metabolism 20 0 1 1.0000000 0.0679626
path:mmu00380 Tryptophan metabolism 21 0 1 1.0000000 0.0712398
path:mmu04510 Focal adhesion 127 0 2 1.0000000 0.0730508
path:mmu05206 MicroRNAs in cancer 131 0 2 1.0000000 0.0770741

camera with MSigDB gene sets

We use the camera() function from the limma R/Bioconductor package to test whether a set of genes is highly ranked relative to other genes in terms of differential expression, accounting for inter-gene correlation. Specifically, we test using gene sets from MSigDB, namely:

Show code
yf_idx <- ids2indices(
  msigdb, 
  id = sapply(strsplit(yf$genes$NCBI.ENTREZID, "; "), "[[", 1))
list_of_camera <- lapply(colnames(yf_contrast), function(j) {
  cam <- camera(
    y = yf, 
    index = yf_idx,
    design = yf_design, 
    contrast = yf_contrast[, j])
  gzout <- gzfile(
    description = file.path(
      outdir, 
      "aggregated_tech_reps.females.camera.csv.gz"),
    open = "wb")
  write.csv(
    cam,
    gzout,
    row.names = TRUE)
  close(gzout)
  cam
})
names(list_of_camera) <- colnames(yf_contrast)

CSV files of the results are available from output/DEGs/reads.

An example of the results are shown below.

Show code
head(list_of_camera[[1]]) %>%
  knitr::kable(
    caption = '`camera()` produces a table with a row for each gene set (prepended by which MSigDB collection it comes from) and the following columns: **NGenes** (number of genes in set); **Direction** (direction of change); **PValue** (two-tailed p-value); **FDR** (Benjamini and Hochberg FDR adjusted p-value).')
Table 14: camera() produces a table with a row for each gene set (prepended by which MSigDB collection it comes from) and the following columns: NGenes (number of genes in set); Direction (direction of change); PValue (two-tailed p-value); FDR (Benjamini and Hochberg FDR adjusted p-value).
NGenes Direction PValue FDR
C2.KEGG_RIBOSOME 102 Up 0 1.0e-07
C2.REACTOME_EUKARYOTIC_TRANSLATION_ELONGATION 107 Up 0 1.0e-07
C2.REACTOME_RESPONSE_OF_EIF2AK4_GCN2_TO_AMINO_ACID_DEFICIENCY 115 Up 0 9.0e-07
C2.REACTOME_RESPIRATORY_ELECTRON_TRANSPORT_ATP_SYNTHESIS_BY_CHEMIOSMOTIC_COUPLING_AND_HEAT_PRODUCTION_BY_UNCOUPLING_PROTEINS 121 Up 0 1.3e-06
C2.REACTOME_EUKARYOTIC_TRANSLATION_INITIATION 139 Up 0 1.3e-06
C2.REACTOME_SRP_DEPENDENT_COTRANSLATIONAL_PROTEIN_TARGETING_TO_MEMBRANE 130 Up 0 1.9e-06

Sarah’s gene lists

Show code
yf_X <- yf$genes$ENSEMBL.SEQNAME == "X"
yf_protocadherin <- grepl("Pcdh", rownames(yf))
yf_pw <- rownames(yf) %in% c("Ndn", "Mkrn3", "Peg12")
yf_male <- male_het_vs_del[
  male_het_vs_del$FDR < 0.05,
  c("ENSEMBL.SYMBOL", "logFC")]
yf_female <- male_het_vs_del[
  female_het_vs_del$FDR < 0.05,
  c("ENSEMBL.SYMBOL", "logFC")]
yf_sun <- sun_2014[, c("geneSymbol", "log2FC")]
yf_chambers <- chambers_2007[, c("Gene Symbol", "Fold Difference")]
yf_chambers$logFC <- log2(yf_chambers$`Fold Difference`)
yf_chambers$`Fold Difference` <- NULL
yf_chambers <- yf_chambers[!is.na(yf_chambers$`Gene Symbol`), ]
yf_chambers <- yf_chambers[!duplicated(yf_chambers$`Gene Symbol`), ]
yf_gazit <- gazit_2013[, c("Symbol"), drop = FALSE]
yf_gazit$Symbol <- paste(
  substring(yf_gazit$Symbol, 1, 1), 
  tolower(substring(yf_gazit$Symbol, 2)),
  sep = "")
yf_gazit$logFC <- 1
yf_chambers_gazit <- data.frame(
  Symbol = c(yf_chambers$`Gene Symbol`, yf_gazit$Symbol),
  logFC = c(yf_chambers$logFC, yf_gazit$logFC))
yf_chambers_gazit <- yf_chambers_gazit[!duplicated(yf_chambers_gazit$Symbol), ]
yf_venezia_proliferation <- rownames(yf) %in% venezia_proliferation$Gene.Symbol
yf_venezia_quiescence <- rownames(yf) %in% venezia_quiescence$Gene.Symbol

yf_index <- list(
  `X-linked` = yf_X,
  Protocadherin = yf_protocadherin,
  `Prader-Willi` = yf_pw,
  `Male: Het vs. Del` = yf_male,
  `Female: Het vs. Del` = yf_female,
  `Sun (2014)` = yf_sun,
  `Chambers (2007)` = yf_chambers,
  `Gazit (2013)` = yf_gazit,
  `Chambers (2007) & Gazit (2013)` = yf_chambers_gazit,
  `Proliferation Group Venezia (2004)` = yf_venezia_proliferation,
  `Quiescence Group Venezia (2004)` = yf_venezia_quiescence)

Sarah requested testing a number of gene sets (see Gene sets).

We use the fry() function from the edgeR R/Bioconductor package to perform a self-contained gene set test against the null hypothesis that none of the genes in the set are differentially expressed.

Show code
fry(
  yf, 
  index = yf_index, 
  design = yf_design,
  contrast = yf_contrast,
  sort = "none") %>%
    knitr::kable(
      caption = "Results of applying `fry()` to the RNA-seq differential expression results using the supplied gene sets. A significant 'Up' P-value means that the differential expression results found in the RNA-seq data are positively correlated with the expression signature from the corresponding gene set. Conversely, a significant 'Down' P-value means that the differential expression log-fold-changes are negatively correlated with the expression signature from the corresponding gene set. A significant 'Mixed' P-value means that the genes in the set tend to be differentially expressed without regard for direction.")
Table 15: Results of applying fry() to the RNA-seq differential expression results using the supplied gene sets. A significant ‘Up’ P-value means that the differential expression results found in the RNA-seq data are positively correlated with the expression signature from the corresponding gene set. Conversely, a significant ‘Down’ P-value means that the differential expression log-fold-changes are negatively correlated with the expression signature from the corresponding gene set. A significant ‘Mixed’ P-value means that the genes in the set tend to be differentially expressed without regard for direction.
NGenes Direction PValue FDR PValue.Mixed FDR.Mixed
X-linked 385 Down 0.7932572 0.8725829 0.0009255 0.0101804
Protocadherin 6 Up 0.3450358 0.5421992 0.5544190 0.7140077
Prader-Willi 3 Up 0.5275007 0.7253135 0.8358759 0.8358759
Male: Het vs. Del 7 Up 0.6811221 0.8324826 0.6306529 0.7140077
Female: Het vs. Del 16 Up 0.9166151 0.9166151 0.6490979 0.7140077
Sun (2014) 1986 Down 0.1441139 0.2642088 0.0025603 0.0140817
Chambers (2007) 204 Down 0.0110643 0.0961422 0.0219285 0.0482426
Gazit (2013) 248 Down 0.0573814 0.1577988 0.0189400 0.0482426
Chambers (2007) & Gazit (2013) 399 Down 0.0174804 0.0961422 0.0210045 0.0482426
Proliferation Group Venezia (2004) 365 Up 0.0531114 0.1577988 0.0462182 0.0847334
Quiescence Group Venezia (2004) 381 Down 0.0727634 0.1600795 0.1389243 0.2183096
Show code
geneSetTestFiguresForPaper <- function() {
  for (n in names(yf_index)) {
    if (is.data.frame(yf_index[[n]])) {
      yf_status <- rep(0, nrow(yf_dgelrt))
      yf_status[rownames(yf) %in% yf_index[[n]][, 1]] <-
        sign(yf_index[[n]][yf_index[[n]][, 1] %in% rownames(yf), 2])
      plotMD(
        yf_dgelrt,
        status = yf_status,
        hl.col = c("red", "blue"),
        legend = "bottomright",
        main = n)
      abline(h = 0, col = "darkgrey")
    } else {
      yf_status <- rep("Other", nrow(yf_dgelrt))
      yf_status[yf_index[[n]]] <- n
      plotMD(
        yf_dgelrt,
        status = yf_status,
        values = n,
        hl.col = "red",
        legend = "bottomright",
        main = n)
      abline(h = 0, col = "darkgrey")
    }
    
    if (is.data.frame(yf_index[[n]])) {
      barcodeplot(
        yf_dgelrt$table$logFC,
        rownames(yf) %in% yf_index[[n]][, 1],
        gene.weights = yf_index[[n]][
          yf_index[[n]][, 1] %in% rownames(yf), 2],
        main = n)
    } else {
      barcodeplot(
        yf_dgelrt$table$logFC,
        yf_index[[n]],
        main = n)
    }
  }
}
Show code
par(mfrow = c(length(yf_index), 2))
geneSetTestFiguresForPaper()  
MD-plot and barcode plot of genes in supplied gene sets. Directional gene sets have (1) MD plot points coloured according to the statistical significance of the gene **in the gene set** (2) barcode plot 'weights' given by the logFC of the gene **in the gene set**. For the barcode plot, genes are represented by bars and are ranked from left to right by increasing log-fold change. This forms the barcode-like pattern. The line (or *worm*) above the barcode shows the relative local enrichment of the vertical bars in each part of the plot. The dotted horizontal line indicates neutral enrichment; the worm above the dotted line shows enrichment while the worm below the dotted line shows depletion.

Figure 16: MD-plot and barcode plot of genes in supplied gene sets. Directional gene sets have (1) MD plot points coloured according to the statistical significance of the gene in the gene set (2) barcode plot ‘weights’ given by the logFC of the gene in the gene set. For the barcode plot, genes are represented by bars and are ranked from left to right by increasing log-fold change. This forms the barcode-like pattern. The line (or worm) above the barcode shows the relative local enrichment of the vertical bars in each part of the plot. The dotted horizontal line indicates neutral enrichment; the worm above the dotted line shows enrichment while the worm below the dotted line shows depletion.

Show code
dir.create(here("output/figures/paper"))
pdf(here("output/figures/paper/gene_set_tests.pdf"), height = 6, width = 6)
par(mfrow = c(1, 1))
geneSetTestFiguresForPaper()
dev.off()

Session info

The analysis and this document were prepared using the following software (click triangle to expand)
Show code
sessioninfo::session_info()
─ Session info ─────────────────────────────────────────────────────
 setting  value                       
 version  R version 4.0.3 (2020-10-10)
 os       CentOS Linux 7 (Core)       
 system   x86_64, linux-gnu           
 ui       X11                         
 language (EN)                        
 collate  en_US.UTF-8                 
 ctype    en_US.UTF-8                 
 tz       Australia/Melbourne         
 date     2021-10-20                  

─ Packages ─────────────────────────────────────────────────────────
 ! package              * version  date       lib source        
 P annotate               1.68.0   2020-10-27 [?] Bioconductor  
 P AnnotationDbi          1.52.0   2020-10-27 [?] Bioconductor  
 P aroma.light            3.20.0   2020-10-27 [?] Bioconductor  
 P askpass                1.1      2019-01-13 [?] CRAN (R 4.0.0)
 P assertthat             0.2.1    2019-03-21 [?] CRAN (R 4.0.0)
 P Biobase              * 2.50.0   2020-10-27 [?] Bioconductor  
 P BiocFileCache        * 1.14.0   2020-10-27 [?] Bioconductor  
 P BiocGenerics         * 0.36.0   2020-10-27 [?] Bioconductor  
 P BiocManager            1.30.10  2019-11-16 [?] CRAN (R 4.0.0)
 P BiocParallel         * 1.24.1   2020-11-06 [?] Bioconductor  
 P BiocStyle              2.18.1   2020-11-24 [?] Bioconductor  
 P biomaRt                2.46.3   2021-02-09 [?] Bioconductor  
 P Biostrings           * 2.58.0   2020-10-27 [?] Bioconductor  
 P bit                    4.0.4    2020-08-04 [?] CRAN (R 4.0.0)
 P bit64                  4.0.5    2020-08-30 [?] CRAN (R 4.0.0)
 P bitops                 1.0-6    2013-08-17 [?] CRAN (R 4.0.0)
 P blob                   1.2.1    2020-01-20 [?] CRAN (R 4.0.0)
 P cachem                 1.0.4    2021-02-13 [?] CRAN (R 4.0.3)
 P cellranger             1.1.0    2016-07-27 [?] CRAN (R 4.0.0)
 P cli                    2.3.1    2021-02-23 [?] CRAN (R 4.0.3)
 P colorspace             2.0-0    2020-11-11 [?] CRAN (R 4.0.3)
 P cowplot              * 1.1.1    2020-12-30 [?] CRAN (R 4.0.3)
 P crayon                 1.4.1    2021-02-08 [?] CRAN (R 4.0.3)
 P crosstalk              1.1.1    2021-01-12 [?] CRAN (R 4.0.3)
 P curl                   4.3      2019-12-02 [?] CRAN (R 4.0.0)
 P data.table             1.14.0   2021-02-21 [?] CRAN (R 4.0.3)
 P DBI                    1.1.1    2021-01-15 [?] CRAN (R 4.0.3)
 P dbplyr               * 2.1.0    2021-02-03 [?] CRAN (R 4.0.3)
 P DelayedArray           0.16.1   2021-01-22 [?] Bioconductor  
 P DESeq2                 1.30.1   2021-02-19 [?] Bioconductor  
 P digest                 0.6.27   2020-10-24 [?] CRAN (R 4.0.2)
 P distill                1.2      2021-01-13 [?] CRAN (R 4.0.3)
 P downlit                0.2.1    2020-11-04 [?] CRAN (R 4.0.3)
 P dplyr                  1.0.4    2021-02-02 [?] CRAN (R 4.0.3)
 P DT                     0.17     2021-01-06 [?] CRAN (R 4.0.3)
 P EDASeq               * 2.24.0   2020-10-27 [?] Bioconductor  
 P edgeR                * 3.32.1   2021-01-14 [?] Bioconductor  
 P ellipsis               0.3.1    2020-05-15 [?] CRAN (R 4.0.0)
 P evaluate               0.14     2019-05-28 [?] CRAN (R 4.0.0)
 P fansi                  0.4.2    2021-01-15 [?] CRAN (R 4.0.3)
 P farver                 2.0.3    2020-01-16 [?] CRAN (R 4.0.0)
 P fastmap                1.1.0    2021-01-25 [?] CRAN (R 4.0.3)
 P genefilter             1.72.1   2021-01-21 [?] Bioconductor  
 P geneplotter            1.68.0   2020-10-27 [?] Bioconductor  
 P generics               0.1.0    2020-10-31 [?] CRAN (R 4.0.3)
 P GenomeInfoDb         * 1.26.2   2020-12-08 [?] Bioconductor  
 P GenomeInfoDbData       1.2.4    2020-10-20 [?] Bioconductor  
 P GenomicAlignments    * 1.26.0   2020-10-27 [?] Bioconductor  
 P GenomicFeatures        1.42.1   2020-11-12 [?] Bioconductor  
 P GenomicRanges        * 1.42.0   2020-10-27 [?] Bioconductor  
 P ggplot2              * 3.3.3    2020-12-30 [?] CRAN (R 4.0.3)
 P ggrepel              * 0.9.1    2021-01-15 [?] CRAN (R 4.0.3)
 P Glimma               * 2.0.0    2020-10-27 [?] Bioconductor  
 P glue                   1.4.2    2020-08-27 [?] CRAN (R 4.0.0)
 P GO.db                  3.12.1   2020-11-04 [?] Bioconductor  
 P gtable                 0.3.0    2019-03-25 [?] CRAN (R 4.0.0)
 P here                 * 1.0.1    2020-12-13 [?] CRAN (R 4.0.3)
 P highr                  0.8      2019-03-20 [?] CRAN (R 4.0.0)
 P hms                    1.0.0    2021-01-13 [?] CRAN (R 4.0.3)
 P htmltools              0.5.1.1  2021-01-22 [?] CRAN (R 4.0.3)
 P htmlwidgets            1.5.3    2020-12-10 [?] CRAN (R 4.0.3)
 P httr                   1.4.2    2020-07-20 [?] CRAN (R 4.0.0)
 P hwriter                1.3.2    2014-09-10 [?] CRAN (R 4.0.0)
 P IRanges              * 2.24.1   2020-12-12 [?] Bioconductor  
 P jpeg                   0.1-8.1  2019-10-24 [?] CRAN (R 4.0.0)
 P jsonlite               1.7.2    2020-12-09 [?] CRAN (R 4.0.3)
 P knitr                  1.31     2021-01-27 [?] CRAN (R 4.0.3)
 P labeling               0.4.2    2020-10-20 [?] CRAN (R 4.0.0)
 P lattice                0.20-41  2020-04-02 [3] CRAN (R 4.0.3)
 P latticeExtra           0.6-29   2019-12-19 [?] CRAN (R 4.0.0)
 P lifecycle              1.0.0    2021-02-15 [?] CRAN (R 4.0.3)
 P limma                * 3.46.0   2020-10-27 [?] Bioconductor  
 P locfit                 1.5-9.4  2020-03-25 [?] CRAN (R 4.0.0)
 P magrittr             * 2.0.1    2020-11-17 [?] CRAN (R 4.0.3)
 P MASS                   7.3-53   2020-09-09 [3] CRAN (R 4.0.3)
 P Matrix                 1.2-18   2019-11-27 [3] CRAN (R 4.0.3)
 P MatrixGenerics       * 1.2.1    2021-01-30 [?] Bioconductor  
 P matrixStats          * 0.58.0   2021-01-29 [?] CRAN (R 4.0.3)
 P memoise                2.0.0    2021-01-26 [?] CRAN (R 4.0.3)
 P munsell                0.5.0    2018-06-12 [?] CRAN (R 4.0.0)
 P openssl                1.4.3    2020-09-18 [?] CRAN (R 4.0.2)
 P org.Mm.eg.db           3.12.0   2020-10-20 [?] Bioconductor  
 P patchwork            * 1.1.1    2020-12-17 [?] CRAN (R 4.0.3)
 P pheatmap             * 1.0.12   2019-01-04 [?] CRAN (R 4.0.0)
 P pillar                 1.5.0    2021-02-22 [?] CRAN (R 4.0.3)
 P pkgconfig              2.0.3    2019-09-22 [?] CRAN (R 4.0.0)
 P png                    0.1-7    2013-12-03 [?] CRAN (R 4.0.0)
 P prettyunits            1.1.1    2020-01-24 [?] CRAN (R 4.0.0)
 P progress               1.2.2    2019-05-16 [?] CRAN (R 4.0.0)
 P purrr                  0.3.4    2020-04-17 [?] CRAN (R 4.0.0)
 P R.methodsS3            1.8.1    2020-08-26 [?] CRAN (R 4.0.0)
 P R.oo                   1.24.0   2020-08-26 [?] CRAN (R 4.0.0)
 P R.utils                2.10.1   2020-08-26 [?] CRAN (R 4.0.0)
 P R6                     2.5.0    2020-10-28 [?] CRAN (R 4.0.2)
 P rappdirs               0.3.3    2021-01-31 [?] CRAN (R 4.0.3)
 P RColorBrewer           1.1-2    2014-12-07 [?] CRAN (R 4.0.0)
 P Rcpp                   1.0.6    2021-01-15 [?] CRAN (R 4.0.3)
 P RCurl                  1.98-1.2 2020-04-18 [?] CRAN (R 4.0.0)
 P readxl               * 1.3.1    2019-03-13 [?] CRAN (R 4.0.0)
 P rematch                1.0.1    2016-04-21 [?] CRAN (R 4.0.0)
 P rlang                  0.4.10   2020-12-30 [?] CRAN (R 4.0.3)
 P rmarkdown              2.11     2021-09-14 [?] CRAN (R 4.0.0)
 P rprojroot              2.0.2    2020-11-15 [?] CRAN (R 4.0.3)
 P Rsamtools            * 2.6.0    2020-10-27 [?] Bioconductor  
 P RSQLite                2.2.3    2021-01-24 [?] CRAN (R 4.0.3)
 P rtracklayer            1.50.0   2020-10-27 [?] Bioconductor  
 P RUVSeq               * 1.24.0   2020-10-27 [?] Bioconductor  
 P S4Vectors            * 0.28.1   2020-12-09 [?] Bioconductor  
 P scales                 1.1.1    2020-05-11 [?] CRAN (R 4.0.0)
 P sessioninfo            1.1.1    2018-11-05 [?] CRAN (R 4.0.0)
 P ShortRead            * 1.48.0   2020-10-27 [?] Bioconductor  
 P SingleCellExperiment * 1.12.0   2020-10-27 [?] Bioconductor  
 P stringi                1.5.3    2020-09-09 [?] CRAN (R 4.0.0)
 P stringr                1.4.0    2019-02-10 [?] CRAN (R 4.0.0)
 P SummarizedExperiment * 1.20.0   2020-10-27 [?] Bioconductor  
 P survival               3.2-7    2020-09-28 [3] CRAN (R 4.0.3)
 P tibble                 3.0.6    2021-01-29 [?] CRAN (R 4.0.3)
 P tidyselect             1.1.0    2020-05-11 [?] CRAN (R 4.0.0)
 P utf8                   1.1.4    2018-05-24 [?] CRAN (R 4.0.0)
 P vctrs                  0.3.6    2020-12-17 [?] CRAN (R 4.0.3)
 P viridisLite            0.3.0    2018-02-01 [?] CRAN (R 4.0.0)
 P withr                  2.4.1    2021-01-26 [?] CRAN (R 4.0.3)
 P xfun                   0.26     2021-09-14 [?] CRAN (R 4.0.0)
 P XML                    3.99-0.5 2020-07-23 [?] CRAN (R 4.0.0)
 P xml2                   1.3.2    2020-04-23 [?] CRAN (R 4.0.0)
 P xtable                 1.8-4    2019-04-21 [?] CRAN (R 4.0.0)
 P XVector              * 0.30.0   2020-10-27 [?] Bioconductor  
 P yaml                   2.2.1    2020-02-01 [?] CRAN (R 4.0.0)
 P zlibbioc               1.36.0   2020-10-27 [?] Bioconductor  

[1] /stornext/Projects/score/Analyses/C086_Kinkel/renv/library/R-4.0/x86_64-pc-linux-gnu
[2] /tmp/RtmpfgojZ6/renv-system-library
[3] /stornext/System/data/apps/R/R-4.0.3/lib64/R/library

 P ── Loaded and on-disk path mismatch.
Chambers, Stuart M, Nathan C Boles, Kuan-Yin K Lin, Megan P Tierney, Teresa V Bowman, Steven B Bradfute, Alice J Chen, et al. 2007. “Hematopoietic Fingerprints: An Expression Database of Stem Cells and Their Progeny.” Cell Stem Cell 1 (5): 578–91.
Gazit, Roi, Brian S Garrison, Tata Nageswara Rao, Tal Shay, James Costello, Jeff Ericson, Francis Kim, et al. 2013. “Transcriptome Analysis Identifies Regulators of Hematopoietic Stem and Progenitor Cells.” Stem Cell Reports 1 (3): 266–80.
Sun, Deqiang, Min Luo, Mira Jeong, Benjamin Rodriguez, Zheng Xia, Rebecca Hannah, Hui Wang, et al. 2014. “Epigenomic Profiling of Young and Aged HSCs Reveals Concerted Changes During Aging That Reinforce Self-Renewal.” Cell Stem Cell 14 (5): 673–88.
Venezia, Teresa A, Akil A Merchant, Carlos A Ramos, Nathan L Whitehouse, Andrew S Young, Chad A Shaw, Margaret A Goodell, and Bing Lim. 2004. “Molecular Signatures of Proliferation and Quiescence in Hematopoietic Stem Cells.” PLoS Biology 2 (10): e301.
Vizán, Pedro, Arantxa Gutiérrez, Isabel Espejo, Marc Garcı́a-Montolio, Martin Lange, Ana Carretero, Atefeh Lafzi, et al. 2020. “The Polycomb-Associated Factor Phf19 Controls Hematopoietic Stem Cell State and Differentiation.” Science Advances 6 (32): eabb2745.

  1. Details of RUVs parameters are given separately for each analysis.↩︎

  2. see [docs/C086_Kinkel.male_B_cells.multi-sample_comparisons.html(../docs/C086_Kinkel.male_B_cells.multi-sample_comparisons.html)]↩︎

  3. see [docs/C086_Kinkel.female_B_cells.multi-sample_comparisons.html(../docs/C086_Kinkel.female_B_cells.multi-sample_comparisons.html)]↩︎

  4. My understanding of this terms translates as ‘upregulated DEGs.’↩︎

References