library(SingleCellExperiment)
library(here)
library(cowplot)
library(patchwork)
sce <- readRDS(here("data/SCEs/C057_Cooney.cells_selected.SCE.rds"))
# data frames containing co-ordinates and factors for creating reduced
# dimensionality plots.
umap_df <- cbind(
data.frame(
x = reducedDim(sce, "UMAP")[, 1],
y = reducedDim(sce, "UMAP")[, 2]),
as.data.frame(colData(sce)[, !colnames(colData(sce)) %in% c("TRA", "TRB")]))
# Some useful colours
sample_colours <- setNames(
unique(sce$sample_colours),
unique(names(sce$sample_colours)))
treatment_colours <- setNames(
unique(sce$treatment_colours),
unique(names(sce$treatment_colours)))
cluster_colours <- setNames(
unique(sce$cluster_colours),
unique(names(sce$cluster_colours)))
# Some useful gene sets
mito_set <- rownames(sce)[which(rowData(sce)$CHR == "MT")]
ribo_set <- grep("^RP(S|L)", rownames(sce), value = TRUE)
# NOTE: A more curated approach for identifying ribosomal protein genes
# (https://github.com/Bioconductor/OrchestratingSingleCellAnalysis-base/blob/ae201bf26e3e4fa82d9165d8abf4f4dc4b8e5a68/feature-selection.Rmd#L376-L380)
library(msigdbr)
c2_sets <- msigdbr(species = "Homo sapiens", category = "C2")
ribo_set <- union(
ribo_set,
c2_sets[c2_sets$gs_name == "KEGG_RIBOSOME", ]$human_gene_symbol)
source(here("code", "helper_functions.R"))
This is a no-op if the same hvg set is used from cell selection.
library(scran)
set.seed(1000)
var_fit <- modelGeneVarByPoisson(sce, block = sce$batch)
hvg <- getTopHVGs(var_fit, var.threshold = 0)
is_mito <- hvg %in% mito_set
is_ribo <- hvg %in% ribo_set
hvg <- hvg[!(is_mito | is_ribo)]
set.seed(1010)
var_fit.sample <- modelGeneVarByPoisson(sce, block = sce$Sample)
hvg.sample <- getTopHVGs(var_fit.sample, var.threshold = 0)
is_mito <- hvg.sample %in% mito_set
is_ribo <- hvg.sample %in% ribo_set
hvg.sample <- hvg.sample[!(is_mito | is_ribo)]
library(scater)
# NOTE:
set.seed(11235)
sce <- denoisePCA(sce, var_fit, subset.row = hvg)
set.seed(8875)
sce <- runUMAP(sce, dimred = "PCA")
umap_df <- cbind(
data.frame(
x = reducedDim(sce, "UMAP")[, 1],
y = reducedDim(sce, "UMAP")[, 2]),
as.data.frame(colData(sce)[, !colnames(colData(sce)) %in% c("TRA", "TRB")]))
set.seed(8111)
snn_gr <- buildSNNGraph(sce, use.dimred = "PCA")
clusters <- igraph::cluster_louvain(snn_gr)
sce$cluster <- factor(clusters$membership)
umap_df$cluster <- sce$cluster
cluster_colours <- setNames(
Polychrome::glasbey.colors(nlevels(sce$cluster) + 1)[-1],
levels(sce$cluster))
sce$cluster_colours <- cluster_colours[sce$cluster]
table(cluster = sce$cluster, treatment = sce$Treatment)
treatment
cluster Infected Uninfected
1 141 1248
2 1651 66
3 86 18
4 173 379
5 37 816
6 13 291
7 133 856
8 724 671
9 71 840
10 827 90
uncorrected.p1 <- plotUMAP(sce, colour_by = "Treatment", point_size = 0.5) +
scale_colour_manual(values = treatment_colours, name = "Treatment") +
ggtitle("Uncorrected")
uncorrected.p2 <- plotUMAP(sce, colour_by = "cluster", point_size = 0.5) +
scale_colour_manual(values = cluster_colours, name = "cluster") +
ggtitle("Uncorrected")
uncorrected.p1 + uncorrected.p2

p1 <- ggplot(as.data.frame(colData(sce)[, c("cluster", "Sample")])) +
geom_bar(
aes(x = cluster, fill = Sample),
position = position_fill(reverse = TRUE)) +
coord_flip() +
ylab("Frequency") +
scale_fill_manual(values = sample_colours) +
theme_cowplot(font_size = 8)
p2 <- ggplot(as.data.frame(colData(sce)[, c("cluster", "Treatment")])) +
geom_bar(
aes(x = cluster, fill = Treatment),
position = position_fill(reverse = TRUE)) +
coord_flip() +
ylab("Frequency") +
scale_fill_manual(values = treatment_colours) +
theme_cowplot(font_size = 8)
p3 <- ggplot(as.data.frame(colData(sce)[, "cluster", drop = FALSE])) +
geom_bar(aes(x = cluster, fill = cluster)) +
coord_flip() +
ylab("Number of cells") +
scale_fill_manual(values = cluster_colours) +
theme_cowplot(font_size = 8) +
guides(fill = FALSE)
p1 + p2 + p3

rescaleBatches()library(batchelor)
rescaled <- rescaleBatches(sce, batch = sce$Treatment)
library(scran)
set.seed(666)
rescaled <- denoisePCA(
rescaled,
var_fit,
subset.row = hvg,
assay.type = "corrected")
snn.gr <- buildSNNGraph(rescaled, use.dimred="PCA")
clusters.resc <- igraph::cluster_louvain(snn.gr)$membership
rescaled <- runUMAP(rescaled, dimred="PCA")
rescaled$batch <- factor(rescaled$batch)
rescaled$cluster <- factor(clusters.resc)
table(cluster=clusters.resc, treatment=rescaled$batch)
treatment
cluster Infected Uninfected
1 98 30
2 942 264
3 868 1004
4 12 223
5 189 450
6 76 735
7 687 672
8 89 295
9 579 1264
10 316 338

p1 <- ggplot(as.data.frame(
cbind(
colData(sce)[, "Sample", drop = FALSE],
colData(rescaled)[, "cluster", drop = FALSE]))) +
geom_bar(
aes(x = cluster, fill = Sample),
position = position_fill(reverse = TRUE)) +
coord_flip() +
ylab("Frequency") +
scale_fill_manual(values = sample_colours) +
theme_cowplot(font_size = 8)
p2 <- ggplot(as.data.frame(
cbind(
colData(sce)[, "Treatment", drop = FALSE],
colData(rescaled)[, "cluster", drop = FALSE]))) +
geom_bar(
aes(x = cluster, fill = Treatment),
position = position_fill(reverse = TRUE)) +
coord_flip() +
ylab("Frequency") +
scale_fill_manual(values = treatment_colours) +
theme_cowplot(font_size = 8)
p3 <- ggplot(as.data.frame(colData(rescaled)[, "cluster", drop = FALSE])) +
geom_bar(aes(x = cluster, fill = cluster)) +
coord_flip() +
ylab("Number of cells") +
theme_cowplot(font_size = 8) +
guides(fill = FALSE)
p1 + p2 + p3

regressBatches()set.seed(10001)
residuals <- regressBatches(sce, batch = sce$Treatment, d = 50,
subset.row=hvg, correct.all=TRUE)
snn.gr <- buildSNNGraph(residuals, use.dimred="corrected")
clusters.resid <- igraph::cluster_louvain(snn.gr)$membership
table(Cluster=clusters.resid, treatment=residuals$batch)
treatment
Cluster Infected Uninfected
1 519 1168
2 19 254
3 191 380
4 92 817
5 195 814
6 249 7
7 1031 223
8 740 884
9 91 28
10 729 700
residuals <- runUMAP(residuals, dimred="corrected")
residuals$batch <- factor(residuals$batch)
residuals$cluster <- factor(clusters.resid)
residuals.p1 <- plotUMAP(residuals, colour_by = "batch", point_size = 0.5) +
scale_colour_manual(values = treatment_colours, name = "Treatment") +
ggtitle("Residuals")
residuals.p2 <- plotUMAP(residuals, colour_by = "cluster", point_size = 0.5) +
ggtitle("Residuals")
residuals.p1 + residuals.p2

p1 <- ggplot(as.data.frame(
cbind(
colData(sce)[, "Sample", drop = FALSE],
colData(residuals)[, "cluster", drop = FALSE]))) +
geom_bar(
aes(x = cluster, fill = Sample),
position = position_fill(reverse = TRUE)) +
coord_flip() +
ylab("Frequency") +
scale_fill_manual(values = sample_colours) +
theme_cowplot(font_size = 8)
p2 <- ggplot(as.data.frame(
cbind(
colData(sce)[, "Treatment", drop = FALSE],
colData(residuals)[, "cluster", drop = FALSE]))) +
geom_bar(
aes(x = cluster, fill = Treatment),
position = position_fill(reverse = TRUE)) +
coord_flip() +
ylab("Frequency") +
scale_fill_manual(values = treatment_colours) +
theme_cowplot(font_size = 8)
p3 <- ggplot(as.data.frame(colData(residuals)[, "cluster", drop = FALSE])) +
geom_bar(aes(x = cluster, fill = cluster)) +
coord_flip() +
ylab("Number of cells") +
theme_cowplot(font_size = 8) +
guides(fill = FALSE)
p1 + p2 + p3

set.seed(1000101001)
mnn_treatment.out <- fastMNN(
sce,
batch = sce$Treatment,
d = 50,
k = 20,
subset.row = hvg)
snn.gr <- buildSNNGraph(mnn_treatment.out, use.dimred="corrected")
clusters.mnn_treatment <- igraph::cluster_louvain(snn.gr)$membership
table(Cluster=clusters.mnn_treatment, treatment=mnn_treatment.out$batch)
treatment
Cluster Infected Uninfected
1 341 1245
2 270 308
3 327 802
4 110 336
5 239 4
6 710 679
7 67 28
8 521 572
9 1179 577
10 92 724
mnn_treatment.out <- runUMAP(mnn_treatment.out, dimred="corrected")
mnn_treatment.out$batch <- factor(mnn_treatment.out$batch)
mnn_treatment.out$cluster <- factor(clusters.mnn_treatment)
mnn_treatment.p1 <- plotUMAP(
mnn_treatment.out,
colour_by = "batch",
point_size = 0.5) +
scale_colour_manual(values = treatment_colours, name = "Treatment") +
ggtitle("MNN (treatment)")
mnn_treatment.p2 <- plotUMAP(
mnn_treatment.out,
colour_by = "cluster",
point_size = 0.5) +
ggtitle("MNN (treatment)")
mnn_treatment.p1 + mnn_treatment.p2

metadata(mnn_treatment.out)$merge.info$lost.var
Infected Uninfected
[1,] 0.02292624 0.0100355
p1 <- ggplot(as.data.frame(
cbind(
colData(sce)[, "Sample", drop = FALSE],
colData(mnn_treatment.out)[, "cluster", drop = FALSE]))) +
geom_bar(
aes(x = cluster, fill = Sample),
position = position_fill(reverse = TRUE)) +
coord_flip() +
ylab("Frequency") +
scale_fill_manual(values = sample_colours) +
theme_cowplot(font_size = 8)
p2 <- ggplot(as.data.frame(
cbind(
colData(sce)[, "Treatment", drop = FALSE],
colData(mnn_treatment.out)[, "cluster", drop = FALSE]))) +
geom_bar(
aes(x = cluster, fill = Treatment),
position = position_fill(reverse = TRUE)) +
coord_flip() +
ylab("Frequency") +
scale_fill_manual(values = treatment_colours) +
theme_cowplot(font_size = 8)
p3 <- ggplot(
as.data.frame(colData(mnn_treatment.out)[, "cluster", drop = FALSE])) +
geom_bar(aes(x = cluster, fill = cluster)) +
coord_flip() +
ylab("Number of cells") +
theme_cowplot(font_size = 8) +
guides(fill = FALSE)
p1 + p2 + p3

set.seed(1000101001)
mnn_sample.out <- fastMNN(
sce,
batch = sce$Sample,
d = 50,
k = 20,
subset.row = hvg.sample)
snn.gr <- buildSNNGraph(mnn_sample.out, use.dimred="corrected")
clusters.mnn_sample <- igraph::cluster_louvain(snn.gr)$membership
table(Cluster = clusters.mnn_sample, treatment = mnn_sample.out$batch)
treatment
Cluster infected_1 infected_2 infected_3 uninfected_1 uninfected_2
1 205 366 383 202 254
2 281 260 182 378 406
3 208 164 327 181 348
4 60 16 9 280 226
5 193 166 207 116 299
6 169 132 171 242 132
7 231 71 55 390 387
treatment
Cluster uninfected_3
1 98
2 359
3 140
4 196
5 93
6 132
7 416
mnn_sample.out <- runUMAP(mnn_sample.out, dimred="corrected")
mnn_sample.out$batch <- factor(mnn_sample.out$batch)
mnn_sample.out$cluster <- factor(clusters.mnn_sample)
mnn_sample.p1 <- plotUMAP(
mnn_sample.out,
colour_by = I(sce$Treatment),
point_size = 0.5) +
scale_colour_manual(values = treatment_colours, name = "Treatment") +
ggtitle("MNN (sample)")
mnn_sample.p2 <- plotUMAP(
mnn_sample.out,
colour_by = "cluster",
point_size = 0.5) +
ggtitle("MNN (sample)")
mnn_sample.p3 <- plotUMAP(
mnn_sample.out,
colour_by = "batch",
point_size = 0.5) +
scale_colour_manual(values = sample_colours, name = "sample") +
ggtitle("MNN (sample)")
mnn_sample.p1 + mnn_sample.p2 + mnn_sample.p3 + plot_layout(ncol = 2)

round(metadata(mnn_sample.out)$merge.info$lost.var, 3)
infected_1 infected_2 infected_3 uninfected_1 uninfected_2
[1,] 0.021 0.034 0.000 0.000 0.000
[2,] 0.003 0.003 0.032 0.000 0.000
[3,] 0.016 0.012 0.010 0.029 0.000
[4,] 0.002 0.002 0.002 0.003 0.038
[5,] 0.002 0.002 0.002 0.003 0.003
uninfected_3
[1,] 0.000
[2,] 0.000
[3,] 0.000
[4,] 0.000
[5,] 0.044
p1 <- ggplot(as.data.frame(
cbind(
colData(sce)[, "Sample", drop = FALSE],
colData(mnn_sample.out)[, "cluster", drop = FALSE]))) +
geom_bar(
aes(x = cluster, fill = Sample),
position = position_fill(reverse = TRUE)) +
coord_flip() +
ylab("Frequency") +
scale_fill_manual(values = sample_colours) +
theme_cowplot(font_size = 8)
p2 <- ggplot(as.data.frame(
cbind(
colData(sce)[, "Treatment", drop = FALSE],
colData(mnn_sample.out)[, "cluster", drop = FALSE]))) +
geom_bar(
aes(x = cluster, fill = Treatment),
position = position_fill(reverse = TRUE)) +
coord_flip() +
ylab("Frequency") +
scale_fill_manual(values = treatment_colours) +
theme_cowplot(font_size = 8)
p3 <- ggplot(
as.data.frame(colData(mnn_sample.out)[, "cluster", drop = FALSE])) +
geom_bar(aes(x = cluster, fill = cluster)) +
coord_flip() +
ylab("Number of cells") +
theme_cowplot(font_size = 8) +
guides(fill = FALSE)
p1 + p2 + p3 + plot_layout(ncol = 3)

uncorrected.p1 + rescaled.p1 + residuals.p1 + mnn_treatment.p1 +
mnn_sample.p1 + plot_layout(ncol = 2, guides = "collect")

uncorrected.p2 + rescaled.p2 + residuals.p2 + mnn_treatment.p2 +
mnn_sample.p2 + plot_layout(ncol = 2)

set.seed(126)
snn_gr <- buildSNNGraph(sce, use.dimred = "PCA", k = 20)
clusters <- igraph::cluster_louvain(snn_gr)
sce$cluster_k20 <- factor(clusters$membership)
snn_gr <- buildSNNGraph(sce, use.dimred = "PCA", k = 50)
clusters <- igraph::cluster_louvain(snn_gr)
sce$cluster_k50 <- factor(clusters$membership)
snn_gr <- buildSNNGraph(sce, use.dimred = "PCA", k = 100)
clusters <- igraph::cluster_louvain(snn_gr)
sce$cluster_k100 <- factor(clusters$membership)
p1 <- plotUMAP(
sce,
colour_by = "cluster",
point_size = 0.5,
point_alpha = 1,
text_by = "cluster") +
scale_colour_manual(values = cluster_colours, name = "cluster") +
ggtitle("Uncorrected: k = 10") +
guides(colour = FALSE)
p2 <- plotUMAP(
sce,
colour_by = "cluster_k20",
point_size = 0.5,
point_alpha = 1,
text_by = "cluster_k20") +
ggtitle("Uncorrected: k = 20") +
guides(colour = FALSE)
p3 <- plotUMAP(
sce,
colour_by = "cluster_k50",
point_size = 0.5,
point_alpha = 1,
text_by = "cluster_k50") +
ggtitle("Uncorrected: k = 50") +
guides(colour = FALSE)
p4 <- plotUMAP(
sce,
colour_by = "cluster_k100",
point_size = 0.5,
point_alpha = 1,
text_by = "cluster_k100") +
ggtitle("Uncorrected: k = 100") +
guides(colour = FALSE)
p1 + p2 + p3 + p4 + plot_layout(ncol = 2)


# NOTE: Not blocking on `Sample` because some clusters are so `Sample`- and
# `Treatment`-specific.
out <- pairwiseTTests(
sce,
sce$cluster,
direction = "up",
lfc = 0.5)
top_markers <- getTopMarkers(
out$statistics,
out$pairs,
pairwise = FALSE,
pval.type = "all")
features <- unlist(top_markers)
sce$libsize <- log10(sce$sum)
plotHeatmap(
sce,
features,
order_columns_by = c("cluster", "libsize"),
cluster_rows = FALSE,
color = hcl.colors(101, "Blue-Red 3"),
center = TRUE,
zlim = c(-3, 3),
column_annotation_colors = list(
cluster = cluster_colours),
annotation_row = data.frame(
cluster = names(features),
row.names = features),
main = "Uniquely upregulated (logFC > 0.5) cluster marker genes")


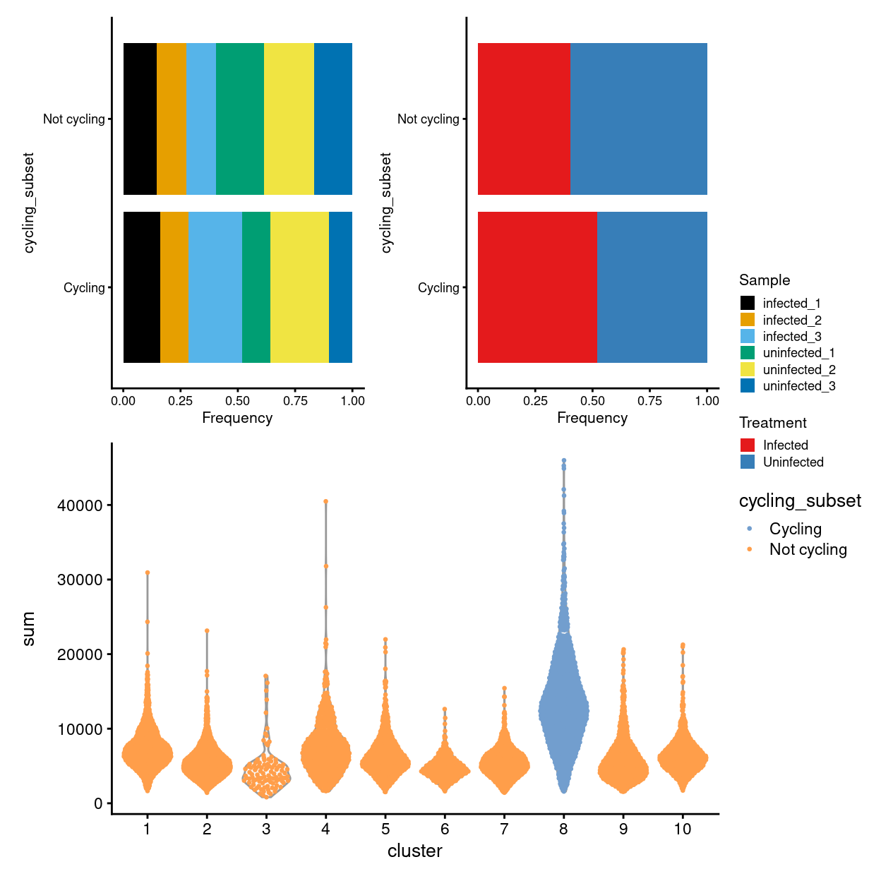
p1 <- ggplot(as.data.frame(colData(sce)[, c("cycling_subset", "Sample")])) +
geom_bar(
aes(x = cycling_subset, fill = Sample),
position = position_fill(reverse = TRUE)) +
coord_flip() +
ylab("Frequency") +
scale_fill_manual(values = sample_colours) +
theme_cowplot(font_size = 8)
p2 <- ggplot(as.data.frame(colData(sce)[, c("cycling_subset", "Treatment")])) +
geom_bar(
aes(x = cycling_subset, fill = Treatment),
position = position_fill(reverse = TRUE)) +
coord_flip() +
ylab("Frequency") +
scale_fill_manual(values = treatment_colours) +
theme_cowplot(font_size = 8)
p3 <- ggplot(as.data.frame(colData(sce)[, "cycling_subset", drop = FALSE])) +
geom_bar(aes(x = cycling_subset, fill = cycling_subset)) +
coord_flip() +
ylab("Number of cells") +
theme_cowplot(font_size = 8) +
guides(fill = FALSE)
p1 + p2 + p3

markers <- findMarkers(
sce,
sce$cluster,
direction = "up",
block = sce$Sample,
lfc = 0.5,
pval.type = "all")
cluster_8_markers <- markers[[cycling_subset]][
markers[[cycling_subset]]$FDR < 0.05, ]
features <- rownames(cluster_8_markers)
unlist(features)
[1] "STMN1" "MKI67" "TYMS" "HMGB2" "TUBA1B"
[6] "PTTG1" "HIST1H4C" "TUBB" "HMGN2" "H2AFZ"
[11] "TOP2A" "NUSAP1" "UBE2C" "BIRC5" "CDKN3"
[16] "CCNA2" "TUBB4B" "H2AFX" "MCM7" "CENPF"
[21] "ZWINT" "CDC20" "CCNB2" "SMC2" "KIFC1"
[26] "ASPM" "HMGB1" "CKS1B" "CDK1" "CENPW"
[31] "H2AFV" "TPX2" "KIF22" "LMNB1" "CLSPN"
[36] "DUT" "PCNA" "CKS2" "SMC4" "ASF1B"
[41] "RAN" "TUBA1C" "FEN1" "CCNB1" "CENPM"
[46] "HIST1H1B" "PLK1" "CENPU" "COX8A" "DHFR"
[51] "DLGAP5" "DEK" "PHF19" "SLC25A5" "TK1"
[56] "RPA3" "NUCKS1" "LSM4" "MAD2L1" "RRM1"
[61] "PPIA" "NUDT1" "LSM5" "GTSE1" "HMGB3"
[66] "DDX39A" "UBE2T" "ANP32E" "CDCA8" "KPNA2"
[71] "DTYMK" "GAPDH" "CENPE" "HNRNPA2B1" "SRSF2"
p3 <- plotColData(
sce,
"sum",
x = "cluster",
colour_by = "cycling_subset",
point_size = 0.5,
point_alpha = 1)
(p1 + p2) / p3 + plot_layout(guides = "collect")

Please see output/marker_genes/cycling_subset/ for heatmaps and spreadsheets of these marker gene lists.
cycling_subset_markers <- findMarkers(
sce,
sce$cycling_subset,
direction = "up",
block = sce$Sample,
lfc = 0.5,
row.data = flattenDF(rowData(sce)))
cyclin_genes <- grep("^CCN[ABDE][0-9]$", rowData(sce)$Symbol)
cyclin_genes <- sort(rownames(sce)[cyclin_genes])
features <- unlist(
List(
cycling_markers = head(
rownames(cycling_subset_markers[["Not cycling"]]),
25),
not_cycling_markers = head(
rownames(cycling_subset_markers[["Cycling"]]),
25),
cyclins = cyclin_genes))
plotHeatmap(
sce,
features,
order_columns_by = c("cycling_subset", "cluster", "libsize"),
cluster_rows = FALSE,
color = hcl.colors(101, "Blue-Red 3"),
center = TRUE,
zlim = c(-3, 3),
column_annotation_colors = list(cluster = cluster_colours),
annotation_row = data.frame(
GeneSet = names(features),
row.names = features))

outdir <- here("output", "marker_genes", "cycling_subset")
dir.create(outdir, recursive = TRUE)
createClusterMarkerOutputs(
sce = sce,
outdir = outdir,
markers = cycling_subset_markers,
k = 100,
width = 6,
height = 7.5)
cyclone() classifier# NOTE: This was run and the results saved.
# hs.pairs <- readRDS(system.file("exdata", "human_cycle_markers.rds",
# package="scran"))
#
# # Using Ensembl IDs to match up with the annotation in 'hs.pairs'.
# set.seed(100)
# assignments <- cyclone(
# sce,
# hs.pairs,
# gene.names = rowData(sce)$ENSEMBL.GENEID)
assignments <- readRDS(here("data", "cyclone_assignments.rds"))
colData(sce) <- cbind(colData(sce), DataFrame(assignments$score))
sce$phases <- assignments$phases
par(mfrow = c(2, 2))
boxplot(
sce$G1 ~ sce$cluster,
ylab = "score",
col = cluster_colours,
xlab = "cluster",
main = "Cyclone: G1")
boxplot(
sce$G2M ~ sce$cluster,
ylab = "score",
col = cluster_colours,
xlab = "cluster",
main = "Cyclone: G2M")
boxplot(
sce$S ~ sce$cluster,
ylab = "score",
col = cluster_colours,
xlab = "cluster",
main = "Cyclone: S")

proportions(table(sce$cluster, assignments$phases), 1)
G1 G2M S
1 0.738660907 0.002159827 0.259179266
2 0.659289458 0.006988934 0.333721607
3 0.163461538 0.057692308 0.778846154
4 0.757246377 0.001811594 0.240942029
5 0.726846424 0.003516999 0.269636577
6 0.700657895 0.006578947 0.292763158
7 0.647118301 0.001011122 0.351870576
8 0.478136201 0.313978495 0.207885305
9 0.698133919 0.006586169 0.295279912
10 0.721919302 0.005452563 0.272628135
proportions(table(sce$cycling_subset, sce$phases), 1)
G1 G2M S
Cycling 0.478136201 0.313978495 0.207885305
Not cycling 0.693381593 0.005041365 0.301577042
p1 <- plotUMAP(
sce,
colour_by = "G1",
text_by = "cluster",
point_size = 0.5,
point_alpha = 1)
p2 <- plotUMAP(
sce,
colour_by = "G2M",
text_by = "cluster",
point_size = 0.5,
point_alpha = 1)
p3 <- plotUMAP(
sce,
colour_by = "S",
text_by = "cluster",
point_size = 0.5,
point_alpha = 1)
p4 <- plotUMAP(
sce,
colour_by = "cluster",
text_by = "cluster",
point_size = 0.5,
point_alpha = 1) +
scale_colour_manual(values = cluster_colours, name = "cluster")
p1 + p2 + p3 + p4 + plot_layout(ncol = 2)

library(tricycle)
# Project a single cell data set to pre-learned cell cycle space
sce <- project_cycle_space(
x = sce,
gname.type = "SYMBOL",
species = "human")
# Diagnostic plot: should roughly be an ellipsoid (see
# http://bioconductor.org/packages/release/bioc/vignettes/tricycle/inst/doc/tricycle.html#assessing-performance)
# plotReducedDim(
# sce,
# dimred = "tricycleEmbedding",
# point_alpha = 1) +
# labs(x = "Projected PC1", y = "Projected PC2") +
# ggtitle("Projected cell cycle space") +
# theme_cowplot()
The main output of tricycle is a continuous estimate of the relative time within the cell cycle, represented as a number between \(0\) and \(2\pi\) (which we refer to as cell cycle position). According to the authors of tricycle:
We think the continuous position [rather than discrete stages] is more appropriate when describing the cell cycle. However, to help users understand the position variable, we also note that users can approximately relate:
- \(\pi/2\) to be the start of S stage
- \(\pi\) to be the start of G2M stage
- \(3\pi/2\) to be the middle of M stage
- \(7\pi/4 - \pi/4\) to be G1/G0 stage
Figure 1 shows the estimated cell cycle position of each cell. We observe that most cells have an estimated cell cycle position in \(7\pi/4 - \pi/4\) (i.e. consistent with G1/G0 stage) but that there is a cluster of cells with estimated cell cycle positions across the full range of values, i.e. cells in this cluster are going through various stages of the cell cycle.
# Infer cell cycle position
sce <- estimate_cycle_position(sce)
# Plot out embedding scater plot colored by cell cycle position
p <- plot_emb_circle_scale(
sce,
dimred = "UMAP",
point.size = 1,
point.alpha = 1,
fig.title = "") +
theme_cowplot()
legend <- circle_scale_legend(text.size = 4, alpha = 0.9)
plot_grid(p, legend, ncol = 2, rel_widths = c(1, 0.3))
Figure 1: UMAP plot where each celll is coloured by its estimated cell cycle position. These values can be approximately related as follows: pi/2 to be the start of S stage; pi to be the start of G2M stage; 3pi/2 to be the middle of M stage; and 7pi/4 - pi/4 to be G1/G0 stage
The authors of tricycle also offer a modified version of the Schwabe et al. (2020) cell cycle stage estimator.
# Alternative: Infer cell cycle stages
sce <- estimate_Schwabe_stage(
x = sce,
gname.type = "SYMBOL",
species = "human")
Note that \(n =\) 4,865 cells (53%) cannot be assigned a cell stage by this procedure (CCStage is NA). Furthermore:
plotUMAP(
sce,
colour_by = "CCStage",
point_size = 0.5,
point_alpha = 1) +
theme_cowplot() +
guides(colour = guide_legend(override.aes = list(size = 3))) +
scale_colour_discrete(na.value = "grey", name = "CCStage")

cycling_subsetk = 50)set.seed(9391)
list_of_sce <- quickSubCluster(
sce,
groups = sce$cycling_subset,
prepFUN = function(x) {
var_fit <- modelGeneVarByPoisson(x)
hvg <- getTopHVGs(var_fit, var.threshold = 0)
is_mito <- hvg %in% mito_set
is_ribo <- hvg %in% ribo_set
hvg <- hvg[!(is_mito | is_ribo)]
# NOTE: Keep the original dimensionality reduction around for downstream
# plotting.
reducedDimNames(x) <- paste0("original_", reducedDimNames(x))
denoisePCA(x, var_fit, subset.row = hvg)
},
clusterFUN = function(x) {
snn_gr <- buildSNNGraph(x, use.dimred = "PCA", k = 50)
factor(igraph::cluster_louvain(snn_gr)$membership)
})
# It's also useful to have per-sample UMAP representations.
set.seed(17127)
list_of_sce <- lapply(list_of_sce, runUMAP, dimred = "PCA")
# It's also useful to have SingleR DICE with fine labels for subclusters
library(SingleR)
library(celldex)
ref <- DatabaseImmuneCellExpressionData()
labels_fine <- ref$label.fine
# NOTE: This code doesn't necessarily generalise beyond the DICE main labels.
label_fine_collapsed_colours <- setNames(
c(
Polychrome::glasbey.colors(nlevels(factor(labels_fine)) + 1)[-1],
"orange"),
c(levels(factor(labels_fine)), "other"))
list_of_sce <- lapply(list_of_sce, function(x) {
pred_subcluster_fine <- SingleR(
test = x,
ref = ref,
labels = labels_fine,
clusters = x$subcluster)
x$label_subcluster_fine <- factor(
pred_subcluster_fine[x$subcluster, "pruned.labels"])
x
})
list_of_sce <- lapply(list_of_sce, function(x) {
pred_cell_fine <- SingleR(
test = x,
ref = ref,
labels = labels_fine)
x$label_cell_fine <- factor(pred_cell_fine$pruned.labels)
x
})
wrap_plots(
lapply(names(list_of_sce), function(n) {
x <- list_of_sce[[n]]
plotUMAP(x, colour_by = "subcluster", point_size = 0.5, point_alpha = 1) +
ggtitle(n)
}))

wrap_plots(
lapply(names(list_of_sce), function(n) {
x <- list_of_sce[[n]]
plotUMAP(
x,
colour_by = "label_subcluster_fine",
text_by = "subcluster",
point_size = 0.5,
point_alpha = 1) +
ggtitle(n)
})) +
plot_layout(guides = "collect")

wrap_plots(
lapply(names(list_of_sce), function(n) {
x <- list_of_sce[[n]]
plotUMAP(
x,
colour_by = "label_cell_fine",
text_by = "subcluster",
point_size = 0.5,
point_alpha = 1) +
ggtitle(n)
})) +
plot_layout(guides = "collect")

Cycling subset analysisPlease see output/marker_genes/cycling_subset_subclusters/ for heatmaps and spreadsheets of these marker gene lists.
Cycling subset subclusters are strongly enriched for cyclone’s predicted cell cycle phase (phases), tricycle’s estimated cell cycle position, and tricycle-modified Schwabe cell stages (CCStage).Cycling subset subclusters have strong marker genes (but these probably reflect more cell cycle and less cell type)Cycling subset subclusters don’t appear to be Treatment-specificcycling_sce <- list_of_sce[["Cycling"]]
colLabels(cycling_sce) <- cycling_sce$subcluster
wrap_plots(
plotlist = c(
lapply(c("G1", "G2M", "S"), function(phase) {
plotUMAP(
cycling_sce,
colour_by = phase,
text_by = "subcluster",
point_size = 0.5,
point_alpha = 1)
}),
list(
ggplot(
as.data.frame(
colData(cycling_sce)[, c("subcluster", "phases")])) +
geom_bar(
aes(x = subcluster, fill = phases),
position = position_fill(reverse = TRUE)) +
coord_flip() +
ylab("Frequency") +
theme_cowplot(font_size = 8)))) +
plot_annotation(title = "Cycling cluster: cyclone")

(wrap_plots(
plot_emb_circle_scale(
cycling_sce,
dimred = "UMAP",
point.size = 2,
point.alpha = 1,
fig.title = "",
facet_by = "subcluster")) |
circle_scale_legend(text.size = 2, alpha = 0.9)) +
plot_layout(widths = c(1, 0.2)) +
plot_annotation(title = "Cycling cluster: tricycle")

wrap_plots(
plotlist = c(
list(
plotUMAP(
cycling_sce,
colour_by = "CCStage",
text_by = "subcluster",
point_size = 0.5,
point_alpha = 1) +
scale_colour_discrete(na.value = "grey", name = "CCStage")
),
list(
ggplot(
as.data.frame(
colData(cycling_sce)[, c("subcluster", "CCStage")])) +
geom_bar(
aes(x = subcluster, fill = CCStage),
position = position_fill(reverse = TRUE)) +
coord_flip() +
ylab("Frequency") +
theme_cowplot(font_size = 8)))) +
plot_annotation(title = "Cycling cluster: tricycle-modified Schwabe")

out <- pairwiseTTests(
cycling_sce,
cycling_sce$subcluster,
direction = "up",
block = cycling_sce$Sample)
top_markers <- getTopMarkers(
out$statistics,
out$pairs,
pairwise = FALSE,
pval.type = "all",
n = 10)
features <- unlist(top_markers)
plotHeatmap(
cycling_sce,
features,
order_columns_by = c("subcluster", "Treatment", "Sample"),
cluster_rows = FALSE,
color = hcl.colors(101, "Blue-Red 3"),
center = TRUE,
zlim = c(-3, 3),
column_annotation_colors = list(
Treatment = treatment_colours,
Sample = sample_colours),
annotation_row = data.frame(
subcluster = names(features),
row.names = features),
main = "Cycling: Uniquely upregulated cluster marker genes")

p1 <- ggplot(as.data.frame(colData(cycling_sce)[, c("subcluster", "Sample")])) +
geom_bar(
aes(x = subcluster, fill = Sample),
position = position_fill(reverse = TRUE)) +
coord_flip() +
ylab("Frequency") +
scale_fill_manual(values = sample_colours) +
theme_cowplot(font_size = 8)
p2 <- ggplot(as.data.frame(colData(cycling_sce)[, c("subcluster", "Treatment")])) +
geom_bar(
aes(x = subcluster, fill = Treatment),
position = position_fill(reverse = TRUE)) +
coord_flip() +
ylab("Frequency") +
scale_fill_manual(values = treatment_colours) +
theme_cowplot(font_size = 8)
p3 <- ggplot(as.data.frame(colData(cycling_sce)[, "subcluster", drop = FALSE])) +
geom_bar(aes(x = subcluster, fill = subcluster)) +
coord_flip() +
ylab("Number of cells") +
theme_cowplot(font_size = 8) +
guides(fill = FALSE)
p1 + p2 + p3 + plot_annotation(title = "Cycling")

p1 <- plotUMAP(
cycling_sce,
colour_by = "subcluster",
text_by = "subcluster",
point_size = 0.5,
point_alpha = 1)
p2 <- plotUMAP(
cycling_sce,
colour_by = "Treatment",
text_by = "subcluster",
point_size = 0.5,
point_alpha = 1) +
scale_colour_manual(values = treatment_colours, name = "Treatment")
p1 + p2 + plot_annotation("Cycling subset")

markers <- findMarkers(
cycling_sce,
cycling_sce$subcluster,
direction = "up",
pval.type = "all",
block = cycling_sce$Sample,
row.data = flattenDF(rowData(cycling_sce)))
outdir <- here("output", "marker_genes", "cycling_subset_subcluster")
dir.create(outdir, recursive = TRUE)
createClusterMarkerOutputs(
sce = cycling_sce,
outdir = outdir,
markers = markers,
k = 100,
width = 6,
height = 7.5)
Not cycling subset analysisPlease see output/marker_genes/not_cycling_subset_subclusters/ for heatmaps and spreadsheets of these marker gene lists.
Not cycling subset subclusters have little association with cyclone’s predicted cell cycle phase (phases), tricycle’s estimated cell cycle position, or tricycle-modified Schwabe cell stages (CCStage).
Not cycling subset subclusters have strong marker genes (likely reflecting cell type / state)Not cycling subset subclusters appear to be highly Treatment-specificnot_cycling_sce <- list_of_sce[["Not cycling"]]
colLabels(not_cycling_sce) <- not_cycling_sce$subcluster
wrap_plots(
plotlist = c(
lapply(c("G1", "G2M", "S"), function(phase) {
plotUMAP(
not_cycling_sce,
colour_by = phase,
text_by = "subcluster",
point_size = 0.5,
point_alpha = 1)
}),
list(
ggplot(
as.data.frame(
colData(not_cycling_sce)[, c("subcluster", "phases")])) +
geom_bar(
aes(x = subcluster, fill = phases),
position = position_fill(reverse = TRUE)) +
coord_flip() +
ylab("Frequency") +
theme_cowplot(font_size = 8)))) +
plot_annotation(title = "Not cycling cluster: cyclone")

(wrap_plots(
plot_emb_circle_scale(
not_cycling_sce,
dimred = "UMAP",
point.size = 2,
point.alpha = 1,
fig.title = "",
facet_by = "subcluster")) |
circle_scale_legend(text.size = 3, alpha = 0.9)) +
plot_layout(widths = c(1, 0.2)) +
plot_annotation(title = "Not-cycling cluster: tricycle")

wrap_plots(
plotlist = c(
list(
plotUMAP(
not_cycling_sce,
colour_by = "CCStage",
text_by = "subcluster",
point_size = 0.5,
point_alpha = 1) +
scale_colour_discrete(na.value = "grey", name = "CCStage")
),
list(
ggplot(
as.data.frame(
colData(not_cycling_sce)[, c("subcluster", "CCStage")])) +
geom_bar(
aes(x = subcluster, fill = CCStage),
position = position_fill(reverse = TRUE)) +
coord_flip() +
ylab("Frequency") +
theme_cowplot(font_size = 8)))) +
plot_annotation(title = "Not cycling cluster: tricycle-modified Schwabe")

out <- pairwiseTTests(
not_cycling_sce,
not_cycling_sce$subcluster,
direction = "up",
block = not_cycling_sce$Sample)
top_markers <- getTopMarkers(
out$statistics,
out$pairs,
pairwise = FALSE,
pval.type = "all",
n = 10)
features <- unlist(top_markers)
plotHeatmap(
not_cycling_sce,
features,
order_columns_by = c("subcluster", "Treatment", "Sample"),
cluster_rows = FALSE,
color = hcl.colors(101, "Blue-Red 3"),
center = TRUE,
zlim = c(-3, 3),
column_annotation_colors = list(
Treatment = treatment_colours,
Sample = sample_colours),
annotation_row = data.frame(
subcluster = names(features),
row.names = features),
main = "Not cycling: Uniquely upregulated cluster marker genes")

p1 <- ggplot(
as.data.frame(colData(not_cycling_sce)[, c("subcluster", "Sample")])) +
geom_bar(
aes(x = subcluster, fill = Sample),
position = position_fill(reverse = TRUE)) +
coord_flip() +
ylab("Frequency") +
scale_fill_manual(values = sample_colours) +
theme_cowplot(font_size = 8)
p2 <- ggplot(
as.data.frame(colData(not_cycling_sce)[, c("subcluster", "Treatment")])) +
geom_bar(
aes(x = subcluster, fill = Treatment),
position = position_fill(reverse = TRUE)) +
coord_flip() +
ylab("Frequency") +
scale_fill_manual(values = treatment_colours) +
theme_cowplot(font_size = 8)
p3 <- ggplot(
as.data.frame(colData(not_cycling_sce)[, "subcluster", drop = FALSE])) +
geom_bar(aes(x = subcluster, fill = subcluster)) +
coord_flip() +
ylab("Number of cells") +
theme_cowplot(font_size = 8) +
guides(fill = FALSE)
p1 + p2 + p3 + plot_annotation(title = "Not cycling")

p1 <- plotUMAP(
not_cycling_sce,
colour_by = "subcluster",
text_by = "subcluster",
point_size = 0.5,
point_alpha = 1)
p2 <- plotUMAP(
not_cycling_sce,
colour_by = "Treatment",
text_by = "subcluster",
point_size = 0.5,
point_alpha = 1) +
scale_colour_manual(values = treatment_colours, name = "Treatment")
p1 + p2 + plot_annotation("Not cycling subset")

markers <- findMarkers(
not_cycling_sce,
not_cycling_sce$subcluster,
direction = "up",
pval.type = "all",
block = not_cycling_sce$Sample,
row.data = flattenDF(rowData(not_cycling_sce)))
outdir <- here("output", "marker_genes", "not_cycling_subset_subcluster")
dir.create(outdir, recursive = TRUE)
createClusterMarkerOutputs(
sce = not_cycling_sce,
outdir = outdir,
markers = markers,
k = 100,
width = 6,
height = 7.5)
The processed SingleCellExperiment objects are available (see data/SCEs/C057_Cooney.cells_selected.SCE.rds, data/SCEs/C057_Cooney.cycling.annotated.SCE.rds, and data/SCEs/C057_Cooney.not_cycling.annotated.SCE.rds). These will be used in downstream analyses, e.g., differential expression analysis between conditions within each cluster and differential abundance analyses between conditions for each cluster.
The following are available on request:
sessioninfo::session_info()
─ Session info ─────────────────────────────────────────────────────
setting value
version R version 4.0.3 (2020-10-10)
os CentOS Linux 7 (Core)
system x86_64, linux-gnu
ui X11
language (EN)
collate en_US.UTF-8
ctype en_US.UTF-8
tz Australia/Melbourne
date 2021-07-01
─ Packages ─────────────────────────────────────────────────────────
! package * version date lib
P AnnotationDbi 1.52.0 2020-10-27 [?]
P AnnotationHub 2.22.0 2020-10-27 [?]
P assertthat 0.2.1 2019-03-21 [?]
P batchelor * 1.6.2 2020-11-26 [?]
P beachmat 2.6.4 2020-12-20 [?]
P beeswarm 0.2.3 2016-04-25 [?]
P Biobase * 2.50.0 2020-10-27 [?]
BiocFileCache 1.14.0 2020-10-27 [1]
BiocGenerics * 0.36.0 2020-10-27 [1]
P BiocManager 1.30.10 2019-11-16 [?]
P BiocNeighbors 1.8.2 2020-12-07 [?]
BiocParallel 1.24.1 2020-11-06 [1]
P BiocSingular 1.6.0 2020-10-27 [?]
BiocStyle 2.18.1 2020-11-24 [1]
BiocVersion 3.12.0 2020-04-27 [1]
P bit 4.0.4 2020-08-04 [?]
P bit64 4.0.5 2020-08-30 [?]
P bitops 1.0-6 2013-08-17 [?]
P blob 1.2.1 2020-01-20 [?]
P bluster 1.0.0 2020-10-27 [?]
P boot 1.3-27 2021-02-12 [?]
P bslib 0.2.4 2021-01-25 [?]
P cachem 1.0.4 2021-02-13 [?]
P celldex * 1.0.0 2020-10-29 [?]
P circular 0.4-93 2017-06-29 [?]
P cli 2.3.1 2021-02-23 [?]
P codetools 0.2-18 2020-11-04 [?]
P colorspace 2.0-0 2020-11-11 [?]
P cowplot * 1.1.1 2020-12-30 [?]
P crayon 1.4.1 2021-02-08 [?]
P crosstalk 1.1.1 2021-01-12 [?]
P curl 4.3 2019-12-02 [?]
P DBI 1.1.1 2021-01-15 [?]
P dbplyr 2.1.0 2021-02-03 [?]
P DelayedArray 0.16.2 2021-02-26 [?]
P DelayedMatrixStats 1.12.3 2021-02-03 [?]
P digest 0.6.27 2020-10-24 [?]
P distill 1.2 2021-01-13 [?]
P downlit 0.2.1 2020-11-04 [?]
P dplyr 1.0.4 2021-02-02 [?]
P dqrng 0.2.1 2019-05-17 [?]
P DT 0.17 2021-01-06 [?]
P edgeR 3.32.1 2021-01-14 [?]
P ellipsis 0.3.1 2020-05-15 [?]
P evaluate 0.14 2019-05-28 [?]
P ExperimentHub 1.16.0 2020-10-27 [?]
P fansi 0.4.2 2021-01-15 [?]
P farver 2.1.0 2021-02-28 [?]
P fastmap 1.1.0 2021-01-25 [?]
P FNN 1.1.3 2019-02-15 [?]
P generics 0.1.0 2020-10-31 [?]
P GenomeInfoDb * 1.26.2 2020-12-08 [?]
GenomeInfoDbData 1.2.4 2021-02-04 [1]
P GenomicRanges * 1.42.0 2020-10-27 [?]
P ggbeeswarm 0.6.0 2017-08-07 [?]
P ggplot2 * 3.3.3 2020-12-30 [?]
P glue 1.4.2 2020-08-27 [?]
P GO.db 3.12.1 2020-11-04 [?]
P gridExtra 2.3 2017-09-09 [?]
P gtable 0.3.0 2019-03-25 [?]
P here * 1.0.1 2020-12-13 [?]
P highr 0.8 2019-03-20 [?]
P htmltools 0.5.1.1 2021-01-22 [?]
P htmlwidgets 1.5.3 2020-12-10 [?]
P httpuv 1.5.5 2021-01-13 [?]
P httr 1.4.2 2020-07-20 [?]
P igraph 1.2.6 2020-10-06 [?]
P interactiveDisplayBase 1.28.0 2020-10-27 [?]
P IRanges * 2.24.1 2020-12-12 [?]
P irlba 2.3.3 2019-02-05 [?]
P jquerylib 0.1.3 2020-12-17 [?]
P jsonlite 1.7.2 2020-12-09 [?]
P knitr 1.31 2021-01-27 [?]
P labeling 0.4.2 2020-10-20 [?]
P later 1.1.0.1 2020-06-05 [?]
P lattice 0.20-41 2020-04-02 [?]
P lifecycle 1.0.0 2021-02-15 [?]
limma * 3.46.0 2020-10-27 [1]
P locfit 1.5-9.4 2020-03-25 [?]
P magrittr * 2.0.1 2020-11-17 [?]
P Matrix 1.3-2 2021-01-06 [?]
MatrixGenerics * 1.2.1 2021-01-30 [1]
P matrixStats * 0.58.0 2021-01-29 [?]
P memoise 2.0.0 2021-01-26 [?]
P mime 0.10 2021-02-13 [?]
P msigdbr * 7.2.1 2020-10-02 [?]
P munsell 0.5.0 2018-06-12 [?]
P mvtnorm 1.1-2 2021-06-07 [?]
P org.Hs.eg.db 3.12.0 2020-10-20 [?]
P patchwork * 1.1.1 2020-12-17 [?]
P pheatmap 1.0.12 2019-01-04 [?]
P pillar 1.5.0 2021-02-22 [?]
P pkgconfig 2.0.3 2019-09-22 [?]
P Polychrome 1.2.6 2020-11-11 [?]
P promises 1.2.0.1 2021-02-11 [?]
P purrr 0.3.4 2020-04-17 [?]
P R6 2.5.0 2020-10-28 [?]
P rappdirs 0.3.3 2021-01-31 [?]
P RColorBrewer 1.1-2 2014-12-07 [?]
P Rcpp 1.0.6 2021-01-15 [?]
P RcppAnnoy 0.0.18 2020-12-15 [?]
P RCurl 1.98-1.2 2020-04-18 [?]
P ResidualMatrix 1.0.0 2020-10-27 [?]
P rlang 0.4.10 2020-12-30 [?]
P rmarkdown 2.7 2021-02-19 [?]
P rprojroot 2.0.2 2020-11-15 [?]
P RSpectra 0.16-0 2019-12-01 [?]
P RSQLite 2.2.3 2021-01-24 [?]
P rsvd 1.0.3 2020-02-17 [?]
P S4Vectors * 0.28.1 2020-12-09 [?]
P sass 0.3.1 2021-01-24 [?]
P scales 1.1.1 2020-05-11 [?]
P scater * 1.18.6 2021-02-26 [?]
P scattermore 0.7 2020-11-24 [?]
P scatterplot3d 0.3-41 2018-03-14 [?]
P scran * 1.18.5 2021-02-04 [?]
P scuttle 1.0.4 2020-12-17 [?]
P sessioninfo 1.1.1 2018-11-05 [?]
P shiny 1.6.0 2021-01-25 [?]
P SingleCellExperiment * 1.12.0 2020-10-27 [?]
P SingleR * 1.4.1 2021-02-02 [?]
P sparseMatrixStats 1.2.1 2021-02-02 [?]
P statmod 1.4.35 2020-10-19 [?]
P stringi 1.5.3 2020-09-09 [?]
P stringr 1.4.0 2019-02-10 [?]
P SummarizedExperiment * 1.20.0 2020-10-27 [?]
P tibble 3.1.0 2021-02-25 [?]
P tidyselect 1.1.0 2020-05-11 [?]
P tricycle * 0.99.32 2021-05-19 [?]
P utf8 1.1.4 2018-05-24 [?]
P uwot 0.1.10 2020-12-15 [?]
P vctrs 0.3.6 2020-12-17 [?]
P vipor 0.4.5 2017-03-22 [?]
P viridis 0.5.1 2018-03-29 [?]
P viridisLite 0.3.0 2018-02-01 [?]
P withr 2.4.1 2021-01-26 [?]
P xfun 0.21 2021-02-10 [?]
P xtable 1.8-4 2019-04-21 [?]
P XVector 0.30.0 2020-10-27 [?]
P yaml 2.2.1 2020-02-01 [?]
P zlibbioc 1.36.0 2020-10-27 [?]
source
Bioconductor
Bioconductor
CRAN (R 4.0.0)
Bioconductor
Bioconductor
CRAN (R 4.0.0)
Bioconductor
Bioconductor
Bioconductor
CRAN (R 4.0.0)
Bioconductor
Bioconductor
Bioconductor
Bioconductor
Bioconductor
CRAN (R 4.0.0)
CRAN (R 4.0.0)
CRAN (R 4.0.0)
CRAN (R 4.0.0)
Bioconductor
CRAN (R 4.0.3)
CRAN (R 4.0.3)
CRAN (R 4.0.3)
Bioconductor
CRAN (R 4.0.3)
CRAN (R 4.0.3)
CRAN (R 4.0.3)
CRAN (R 4.0.3)
CRAN (R 4.0.3)
CRAN (R 4.0.3)
CRAN (R 4.0.3)
CRAN (R 4.0.0)
CRAN (R 4.0.3)
CRAN (R 4.0.3)
Bioconductor
Bioconductor
CRAN (R 4.0.2)
CRAN (R 4.0.3)
CRAN (R 4.0.3)
CRAN (R 4.0.3)
CRAN (R 4.0.0)
CRAN (R 4.0.3)
Bioconductor
CRAN (R 4.0.0)
CRAN (R 4.0.0)
Bioconductor
CRAN (R 4.0.3)
CRAN (R 4.0.3)
CRAN (R 4.0.3)
CRAN (R 4.0.0)
CRAN (R 4.0.3)
Bioconductor
Bioconductor
Bioconductor
CRAN (R 4.0.0)
CRAN (R 4.0.3)
CRAN (R 4.0.0)
Bioconductor
CRAN (R 4.0.0)
CRAN (R 4.0.0)
CRAN (R 4.0.3)
CRAN (R 4.0.0)
CRAN (R 4.0.3)
CRAN (R 4.0.3)
CRAN (R 4.0.3)
CRAN (R 4.0.0)
CRAN (R 4.0.2)
Bioconductor
Bioconductor
CRAN (R 4.0.0)
CRAN (R 4.0.3)
CRAN (R 4.0.3)
CRAN (R 4.0.3)
CRAN (R 4.0.0)
CRAN (R 4.0.0)
CRAN (R 4.0.0)
CRAN (R 4.0.3)
Bioconductor
CRAN (R 4.0.0)
CRAN (R 4.0.3)
CRAN (R 4.0.3)
Bioconductor
CRAN (R 4.0.3)
CRAN (R 4.0.3)
CRAN (R 4.0.3)
CRAN (R 4.0.2)
CRAN (R 4.0.0)
CRAN (R 4.0.3)
Bioconductor
CRAN (R 4.0.3)
CRAN (R 4.0.0)
CRAN (R 4.0.3)
CRAN (R 4.0.0)
CRAN (R 4.0.3)
CRAN (R 4.0.3)
CRAN (R 4.0.0)
CRAN (R 4.0.2)
CRAN (R 4.0.3)
CRAN (R 4.0.0)
CRAN (R 4.0.3)
CRAN (R 4.0.3)
CRAN (R 4.0.0)
Bioconductor
CRAN (R 4.0.3)
CRAN (R 4.0.3)
CRAN (R 4.0.3)
CRAN (R 4.0.0)
CRAN (R 4.0.3)
CRAN (R 4.0.0)
Bioconductor
CRAN (R 4.0.3)
CRAN (R 4.0.0)
Bioconductor
CRAN (R 4.0.3)
CRAN (R 4.0.0)
Bioconductor
Bioconductor
CRAN (R 4.0.0)
CRAN (R 4.0.3)
Bioconductor
Bioconductor
Bioconductor
CRAN (R 4.0.2)
CRAN (R 4.0.0)
CRAN (R 4.0.0)
Bioconductor
CRAN (R 4.0.3)
CRAN (R 4.0.0)
Github (hansenlab/tricycle@143afd6)
CRAN (R 4.0.0)
CRAN (R 4.0.3)
CRAN (R 4.0.3)
CRAN (R 4.0.0)
CRAN (R 4.0.0)
CRAN (R 4.0.0)
CRAN (R 4.0.3)
CRAN (R 4.0.3)
CRAN (R 4.0.0)
Bioconductor
CRAN (R 4.0.0)
Bioconductor
[1] /stornext/Projects/score/Analyses/C057_Cooney/renv/library/R-4.0/x86_64-pc-linux-gnu
[2] /tmp/Rtmp9ObRu6/renv-system-library
[3] /stornext/System/data/apps/R/R-4.0.3/lib64/R/library
P ── Loaded and on-disk path mismatch.